Get the free CHECKLIST IMPORTANT Submit all items on the checklist below to ensure faster processing
Show details
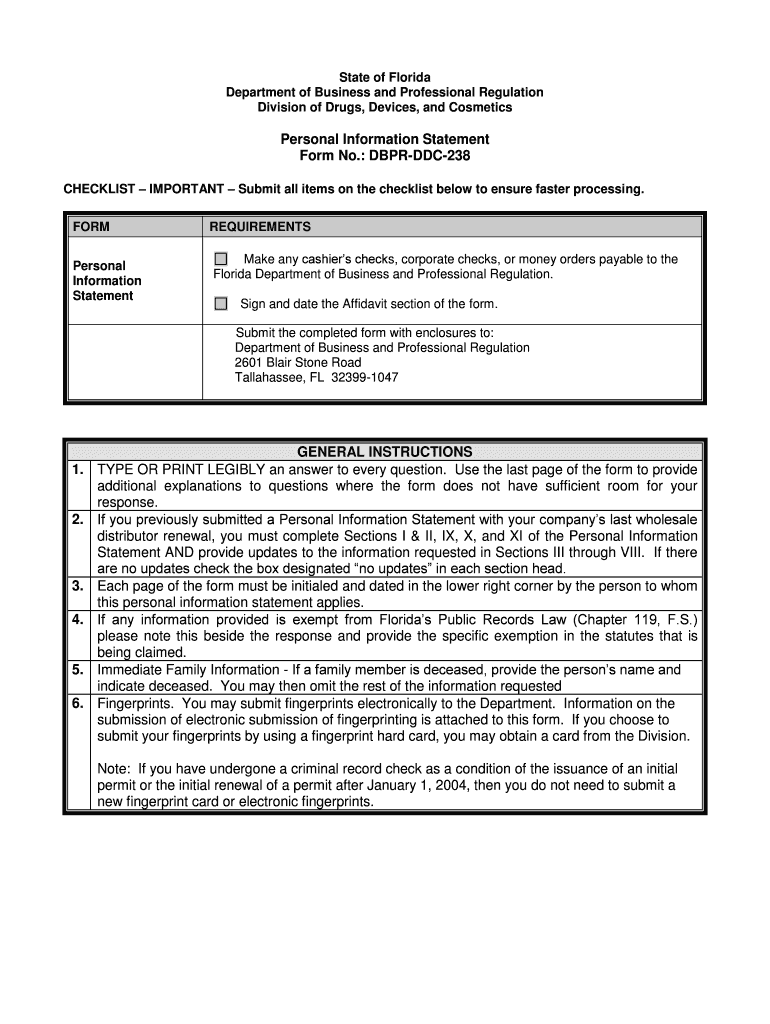
13. If I am living out of state how do I submit my fingerprints without having to travel to Florida Go to the FDLE Livescan Device Vendors list and choose a Livescan vendor that is certified as hard card scanning capable. SPOUSE S INFORMATION Current Address Employer s Name YES NO Spouse s Occupation Employer s Address Employer s City DBPR-DDC-238-Personal Information Statement Incorporated by rule 61N F.A. Any inaccurate information that you provide could cause a delay in processing your...
We are not affiliated with any brand or entity on this form
Get, Create, Make and Sign checklist important submit all
Edit your checklist important submit all form online
Type text, complete fillable fields, insert images, highlight or blackout data for discretion, add comments, and more.
Add your legally-binding signature
Draw or type your signature, upload a signature image, or capture it with your digital camera.
Share your form instantly
Email, fax, or share your checklist important submit all form via URL. You can also download, print, or export forms to your preferred cloud storage service.
How to edit checklist important submit all online
To use the services of a skilled PDF editor, follow these steps:
1
Log in. Click Start Free Trial and create a profile if necessary.
2
Prepare a file. Use the Add New button to start a new project. Then, using your device, upload your file to the system by importing it from internal mail, the cloud, or adding its URL.
3
Edit checklist important submit all. Rearrange and rotate pages, insert new and alter existing texts, add new objects, and take advantage of other helpful tools. Click Done to apply changes and return to your Dashboard. Go to the Documents tab to access merging, splitting, locking, or unlocking functions.
4
Save your file. Choose it from the list of records. Then, shift the pointer to the right toolbar and select one of the several exporting methods: save it in multiple formats, download it as a PDF, email it, or save it to the cloud.
pdfFiller makes working with documents easier than you could ever imagine. Register for an account and see for yourself!
Uncompromising security for your PDF editing and eSignature needs
Your private information is safe with pdfFiller. We employ end-to-end encryption, secure cloud storage, and advanced access control to protect your documents and maintain regulatory compliance.
How to fill out checklist important submit all
How to fill out checklist important submit all
01
To fill out the checklist important submit all, follow these steps:
02
Start by reading the checklist carefully. Make sure you understand all the requirements and instructions.
03
Begin filling out the checklist one point at a time. Pay attention to details and provide accurate information.
04
Use clear and concise language when describing each point in the checklist.
05
Double-check your answers before submitting the checklist to ensure accuracy.
06
Make sure you have provided all the necessary information and completed all the required sections of the checklist.
07
Review the checklist again to verify that you haven't missed any crucial points.
08
Once you are confident that the checklist is filled out correctly and completely, submit it according to the provided instructions.
09
Keep a copy of the filled-out checklist for your records.
Who needs checklist important submit all?
01
Anyone who is required to complete a checklist and submit all the necessary information can benefit from using it.
02
Checklists are commonly used in various industries and fields, such as project management, quality assurance, compliance, and documentation.
03
Individuals, teams, or organizations that want to ensure they meet specific requirements, follow procedures accurately, and keep track of completed tasks can find checklists helpful.
04
Using a checklist helps maintain consistency, improves efficiency, reduces errors, and provides a documented record of completed actions.
05
Whether you are a student, an employee, or a business owner, a checklist can aid you in organizing, prioritizing, and fulfilling all the necessary steps and requirements.
Fill
form
: Try Risk Free
For pdfFiller’s FAQs
Below is a list of the most common customer questions. If you can’t find an answer to your question, please don’t hesitate to reach out to us.
Where do I find checklist important submit all?
The premium subscription for pdfFiller provides you with access to an extensive library of fillable forms (over 25M fillable templates) that you can download, fill out, print, and sign. You won’t have any trouble finding state-specific checklist important submit all and other forms in the library. Find the template you need and customize it using advanced editing functionalities.
How do I edit checklist important submit all online?
With pdfFiller, the editing process is straightforward. Open your checklist important submit all in the editor, which is highly intuitive and easy to use. There, you’ll be able to blackout, redact, type, and erase text, add images, draw arrows and lines, place sticky notes and text boxes, and much more.
How can I fill out checklist important submit all on an iOS device?
Install the pdfFiller app on your iOS device to fill out papers. If you have a subscription to the service, create an account or log in to an existing one. After completing the registration process, upload your checklist important submit all. You may now use pdfFiller's advanced features, such as adding fillable fields and eSigning documents, and accessing them from any device, wherever you are.
What is checklist important submit all?
Checklist important submit all is a list of required items or tasks that need to be completed and submitted.
Who is required to file checklist important submit all?
Anyone who is responsible for completing the tasks or providing the information on the checklist is required to file it.
How to fill out checklist important submit all?
Checklist important submit all can be filled out by carefully reviewing each item on the list and completing them accordingly.
What is the purpose of checklist important submit all?
The purpose of checklist important submit all is to ensure that all necessary items or tasks are completed and submitted in a timely manner.
What information must be reported on checklist important submit all?
The information that must be reported on the checklist important submit all may vary depending on the specific requirements, but it typically includes details about completed tasks or provided information.
Fill out your checklist important submit all online with pdfFiller!
pdfFiller is an end-to-end solution for managing, creating, and editing documents and forms in the cloud. Save time and hassle by preparing your tax forms online.
Checklist Important Submit All is not the form you're looking for?Search for another form here.
Relevant keywords
Related Forms
If you believe that this page should be taken down, please follow our DMCA take down process
here
.
This form may include fields for payment information. Data entered in these fields is not covered by PCI DSS compliance.