Get the free Technical Operating Procedures for Resource Documentation
Show details
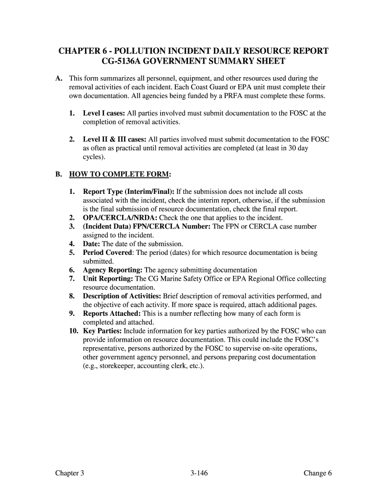
CHAPTER 6 POLLUTION INCIDENT DAILY RESOURCE REPORT CG5136A GOVERNMENT SUMMARY SHEET A. This form summarizes all personnel, equipment, and other resources used during the removal activities of each
We are not affiliated with any brand or entity on this form
Get, Create, Make and Sign technical operating procedures for
Edit your technical operating procedures for form online
Type text, complete fillable fields, insert images, highlight or blackout data for discretion, add comments, and more.
Add your legally-binding signature
Draw or type your signature, upload a signature image, or capture it with your digital camera.
Share your form instantly
Email, fax, or share your technical operating procedures for form via URL. You can also download, print, or export forms to your preferred cloud storage service.
How to edit technical operating procedures for online
In order to make advantage of the professional PDF editor, follow these steps below:
1
Log in. Click Start Free Trial and create a profile if necessary.
2
Upload a file. Select Add New on your Dashboard and upload a file from your device or import it from the cloud, online, or internal mail. Then click Edit.
3
Edit technical operating procedures for. Replace text, adding objects, rearranging pages, and more. Then select the Documents tab to combine, divide, lock or unlock the file.
4
Get your file. Select the name of your file in the docs list and choose your preferred exporting method. You can download it as a PDF, save it in another format, send it by email, or transfer it to the cloud.
It's easier to work with documents with pdfFiller than you could have believed. Sign up for a free account to view.
Uncompromising security for your PDF editing and eSignature needs
Your private information is safe with pdfFiller. We employ end-to-end encryption, secure cloud storage, and advanced access control to protect your documents and maintain regulatory compliance.
How to fill out technical operating procedures for
How to fill out technical operating procedures for
01
Start by gathering all the necessary information about the technical process or operation that needs to be documented.
02
Begin by creating a title and introduction for the technical operating procedures document.
03
Divide the procedures into clear and concise steps, stating the objective or purpose of each step.
04
Use bullet points or numbered lists to make the procedures easier to read and follow.
05
Include any necessary diagrams, charts, or images to enhance understanding of the procedures.
06
Specify any safety precautions or warnings that need to be followed during the process.
07
Clearly define any technical terms or terminology used in the procedures.
08
Ensure that the procedures are written in a logical and systematic manner.
09
Review and revise the procedures as necessary, seeking input from relevant stakeholders.
10
Finally, organize and format the document in a professional and easily accessible manner.
Who needs technical operating procedures for?
01
Engineers and technicians who perform technical operations or processes.
02
Manufacturing or production companies that rely on specific operating procedures.
03
Organizations or industries dealing with complex machinery or equipment.
04
Regulatory bodies or authorities overseeing technical operations.
05
Training institutes or educational institutions teaching technical skills.
Fill
form
: Try Risk Free
For pdfFiller’s FAQs
Below is a list of the most common customer questions. If you can’t find an answer to your question, please don’t hesitate to reach out to us.
How do I make edits in technical operating procedures for without leaving Chrome?
Get and add pdfFiller Google Chrome Extension to your browser to edit, fill out and eSign your technical operating procedures for, which you can open in the editor directly from a Google search page in just one click. Execute your fillable documents from any internet-connected device without leaving Chrome.
How can I edit technical operating procedures for on a smartphone?
You can do so easily with pdfFiller’s applications for iOS and Android devices, which can be found at the Apple Store and Google Play Store, respectively. Alternatively, you can get the app on our web page: https://edit-pdf-ios-android.pdffiller.com/. Install the application, log in, and start editing technical operating procedures for right away.
How do I fill out technical operating procedures for on an Android device?
Use the pdfFiller app for Android to finish your technical operating procedures for. The application lets you do all the things you need to do with documents, like add, edit, and remove text, sign, annotate, and more. There is nothing else you need except your smartphone and an internet connection to do this.
What is technical operating procedures for?
Technical operating procedures are used to document the step-by-step instructions for performing a specific technical task or process.
Who is required to file technical operating procedures for?
Any individual or organization that is involved in carrying out technical tasks or processes may be required to file technical operating procedures.
How to fill out technical operating procedures for?
Technical operating procedures should be filled out by following the established format and guidelines for documenting technical tasks.
What is the purpose of technical operating procedures for?
The purpose of technical operating procedures is to ensure consistency, accuracy, and safety in the performance of technical tasks.
What information must be reported on technical operating procedures for?
Technical operating procedures must include detailed instructions, list of equipment and materials needed, safety precautions, troubleshooting tips, and any other relevant information for performing the technical task.
Fill out your technical operating procedures for online with pdfFiller!
pdfFiller is an end-to-end solution for managing, creating, and editing documents and forms in the cloud. Save time and hassle by preparing your tax forms online.
Technical Operating Procedures For is not the form you're looking for?Search for another form here.
Relevant keywords
Related Forms
If you believe that this page should be taken down, please follow our DMCA take down process
here
.
This form may include fields for payment information. Data entered in these fields is not covered by PCI DSS compliance.