Form preview

Get the free CRCS - I/P Final Review Questions Section 1-3 Flashcards ...

Get Form
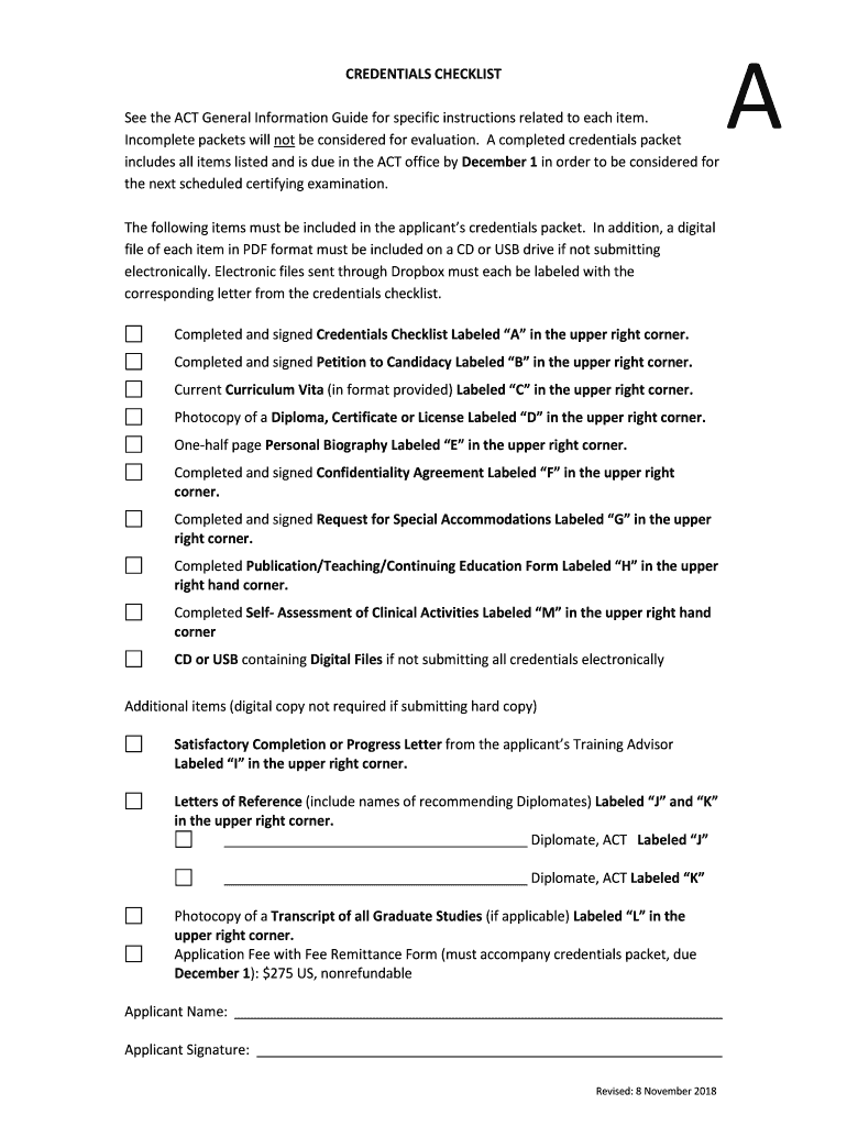
CREDENTIALS CHECKLIST See the ACT General Information Guide for specific instructions related to each item. Incomplete packets will not be considered for evaluation. A completed credentials' packet includes
We are not affiliated with any brand or entity on this form

Get, Create, Make and Sign crcs - ip final

Edit
Edit your crcs - ip final form online
Type text, complete fillable fields, insert images, highlight or blackout data for discretion, add comments, and more.
Add
Add your legally-binding signature
Draw or type your signature, upload a signature image, or capture it with your digital camera.
Share
Share your form instantly
Email, fax, or share your crcs - ip final form via URL. You can also download, print, or export forms to your preferred cloud storage service.

How to edit crcs - ip final online

9.5
Ease of Setup
pdfFiller User Ratings on G2
9.0
Ease of Use
pdfFiller User Ratings on G2
Here are the steps you need to follow to get started with our professional PDF editor:
1
Set up an account. If you are a new user, click Start Free Trial and establish a profile.
2
Prepare a file. Use the Add New button to start a new project. Then, using your device, upload your file to the system by importing it from internal mail, the cloud, or adding its URL.
3
Edit crcs - ip final. Add and change text, add new objects, move pages, add watermarks and page numbers, and more. Then click Done when you're done editing and go to the Documents tab to merge or split the file. If you want to lock or unlock the file, click the lock or unlock button.
4
Save your file. Select it in the list of your records. Then, move the cursor to the right toolbar and choose one of the available exporting methods: save it in multiple formats, download it as a PDF, send it by email, or store it in the cloud.
pdfFiller makes working with documents easier than you could ever imagine. Try it for yourself by creating an account!

Uncompromising security for your PDF editing and eSignature needs

Your private information is safe with pdfFiller. We employ end-to-end encryption, secure cloud storage, and advanced access control to protect your documents and maintain regulatory compliance.
GDPR
AICPA SOC 2
PCI
HIPAA
CCPA
FDA

How to fill out crcs - ip final

Illustration

How to fill out crcs - ip final

01
To fill out CRCS-IP final form, follow these steps:
02
Start by entering the required information about the IP (Invention Provider) and the invention itself.
03
Provide a detailed description of the invention, including any diagrams or drawings if necessary.
04
Clearly state the novel aspects and advantages of the invention.
05
Specify the potential applications or uses for the invention.
06
Include any supporting documents or evidence, such as prototypes or test results.
07
Complete the financial information section, including the cost of development and projected revenue.
08
Review the completed form for accuracy and completeness.
09
Sign and date the form before submitting it for review and approval.

Who needs crcs - ip final?

01
CRCS-IP final form is needed by inventors or individuals who have developed a novel invention and want to protect their intellectual property rights.
02
It is also required for patent applications and to demonstrate the uniqueness and potential value of the invention.
03
Furthermore, individuals or organizations seeking funding or investment for the development of the invention may need to fill out CRCS-IP final form to provide comprehensive information to potential investors or stakeholders.
Fill form : Try Risk Free
Users Most Likely To Recommend - Summer 2025
Grid Leader in Small-Business - Summer 2025
High Performer - Summer 2025
Regional Leader - Summer 2025
Easiest To Do Business With - Summer 2025
Best Meets Requirements- Summer 2025
Rate the form
4.7
Satisfied
28 Votes

For pdfFiller’s FAQs

Below is a list of the most common customer questions. If you can’t find an answer to your question, please don’t hesitate to reach out to us.

When you're ready to share your crcs - ip final, you can swiftly email it to others and receive the eSigned document back. You may send your PDF through email, fax, text message, or USPS mail, or you can notarize it online. All of this may be done without ever leaving your account.
Yes. By adding the solution to your Chrome browser, you can use pdfFiller to eSign documents and enjoy all of the features of the PDF editor in one place. Use the extension to create a legally-binding eSignature by drawing it, typing it, or uploading a picture of your handwritten signature. Whatever you choose, you will be able to eSign your crcs - ip final in seconds.
You certainly can. You can quickly edit, distribute, and sign crcs - ip final on your iOS device with the pdfFiller mobile app. Purchase it from the Apple Store and install it in seconds. The program is free, but in order to purchase a subscription or activate a free trial, you must first establish an account.
CRCs - IP final stands for Capital Flows Reporting System - Information Protocol final.
Financial institutions and businesses engaging in cross-border transactions are required to file CRCs - IP final.
CRCs - IP final can be filled out online through the designated portal provided by the regulatory authority.
The purpose of CRCs - IP final is to monitor and track cross-border capital flows for regulatory compliance and analysis purposes.
Information such as transaction amount, parties involved, nature of transaction, and country of origin must be reported on CRCs - IP final.
Fill out your crcs - ip final online with pdfFiller!

pdfFiller is an end-to-end solution for managing, creating, and editing documents and forms in the cloud. Save time and hassle by preparing your tax forms online.

Get started now
Form preview
If you believe that this page should be taken down, please follow our DMCA take down process here .
This form may include fields for payment information. Data entered in these fields is not covered by PCI DSS compliance.