Get the free FINANCIAL AID OFFICE LIFETIME PELL ELIGIBILITY FORM
Show details
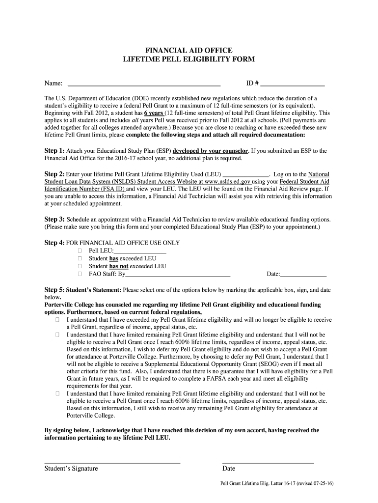
FINANCIAL AID OFFICE LIFETIME WELL ELIGIBILITY FORM Name: ID # The U.S. Department of Education (DOE) recently established new regulations which reduce the duration of a students' eligibility to receive
We are not affiliated with any brand or entity on this form
Get, Create, Make and Sign financial aid office lifetime
Edit your financial aid office lifetime form online
Type text, complete fillable fields, insert images, highlight or blackout data for discretion, add comments, and more.
Add your legally-binding signature
Draw or type your signature, upload a signature image, or capture it with your digital camera.
Share your form instantly
Email, fax, or share your financial aid office lifetime form via URL. You can also download, print, or export forms to your preferred cloud storage service.
Editing financial aid office lifetime online
To use our professional PDF editor, follow these steps:
1
Create an account. Begin by choosing Start Free Trial and, if you are a new user, establish a profile.
2
Prepare a file. Use the Add New button to start a new project. Then, using your device, upload your file to the system by importing it from internal mail, the cloud, or adding its URL.
3
Edit financial aid office lifetime. Add and change text, add new objects, move pages, add watermarks and page numbers, and more. Then click Done when you're done editing and go to the Documents tab to merge or split the file. If you want to lock or unlock the file, click the lock or unlock button.
4
Save your file. Select it from your records list. Then, click the right toolbar and select one of the various exporting options: save in numerous formats, download as PDF, email, or cloud.
With pdfFiller, it's always easy to deal with documents. Try it right now
Uncompromising security for your PDF editing and eSignature needs
Your private information is safe with pdfFiller. We employ end-to-end encryption, secure cloud storage, and advanced access control to protect your documents and maintain regulatory compliance.
How to fill out financial aid office lifetime
How to fill out financial aid office lifetime
01
Research the financial aid options available at your college or university. This may include scholarships, grants, work-study programs, and loans.
02
Gather the necessary documents and information needed to complete the financial aid application. This may include tax returns, income statements, and personal identification.
03
Fill out the financial aid application accurately and thoroughly. Provide all requested information and double-check for any errors.
04
Submit the completed financial aid application to the financial aid office. Be sure to meet any deadlines specified by the office.
05
Follow up with the financial aid office to ensure your application has been received and processed. This may involve contacting the office or checking online.
06
Stay informed about any additional documentation or steps required by the financial aid office. This may include verification of information or providing additional paperwork.
07
Review your financial aid award letter once it is received. This letter will outline the types and amounts of financial aid you are eligible to receive.
08
Accept or decline the financial aid offered to you. Follow any instructions provided by the financial aid office to confirm your acceptance.
09
If necessary, apply for additional financial aid or scholarship opportunities outside of the financial aid office. This may involve researching and applying for external grants or scholarships.
10
Keep track of any deadlines or requirements for maintaining your financial aid. This may include meeting satisfactory academic progress or reapplying for aid each year.
Who needs financial aid office lifetime?
01
Students who require financial assistance to pay for college or university tuition and expenses.
02
Individuals from low-income families who cannot afford the full cost of education.
03
Students who do not have access to other sources of financial support, such as scholarships or personal savings.
04
Individuals pursuing higher education who are independent from their parents and do not have their financial support.
05
Students who have experienced a change in financial circumstances that affect their ability to pay for education.
Fill
form
: Try Risk Free
For pdfFiller’s FAQs
Below is a list of the most common customer questions. If you can’t find an answer to your question, please don’t hesitate to reach out to us.
How can I edit financial aid office lifetime from Google Drive?
It is possible to significantly enhance your document management and form preparation by combining pdfFiller with Google Docs. This will allow you to generate papers, amend them, and sign them straight from your Google Drive. Use the add-on to convert your financial aid office lifetime into a dynamic fillable form that can be managed and signed using any internet-connected device.
Can I create an electronic signature for the financial aid office lifetime in Chrome?
You can. With pdfFiller, you get a strong e-signature solution built right into your Chrome browser. Using our addon, you may produce a legally enforceable eSignature by typing, sketching, or photographing it. Choose your preferred method and eSign in minutes.
How do I edit financial aid office lifetime on an Android device?
With the pdfFiller Android app, you can edit, sign, and share financial aid office lifetime on your mobile device from any place. All you need is an internet connection to do this. Keep your documents in order from anywhere with the help of the app!
What is financial aid office lifetime?
Financial aid office lifetime refers to the duration that a student can access financial aid resources and support from the office.
Who is required to file financial aid office lifetime?
All students who are seeking financial assistance for their education are required to file the financial aid office lifetime.
How to fill out financial aid office lifetime?
To fill out the financial aid office lifetime, students need to gather necessary documents such as income statements, tax returns, and personal information, and then complete the application form provided by the financial aid office.
What is the purpose of financial aid office lifetime?
The purpose of financial aid office lifetime is to ensure that students have the financial resources they need to pursue their educational goals without facing undue financial burden.
What information must be reported on financial aid office lifetime?
Information such as financial status, household income, academic program, enrollment status, and any other relevant financial information must be reported on the financial aid office lifetime.
Fill out your financial aid office lifetime online with pdfFiller!
pdfFiller is an end-to-end solution for managing, creating, and editing documents and forms in the cloud. Save time and hassle by preparing your tax forms online.
Financial Aid Office Lifetime is not the form you're looking for?Search for another form here.
Relevant keywords
Related Forms
If you believe that this page should be taken down, please follow our DMCA take down process
here
.
This form may include fields for payment information. Data entered in these fields is not covered by PCI DSS compliance.