Form preview

Get the free 491637467

Get Form
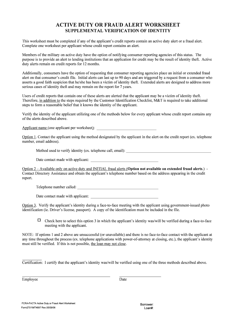
This document is used to verify the identity of applicants whose credit reports contain an active duty alert or a fraud alert to prevent identity theft.
We are not affiliated with any brand or entity on this form

Get, Create, Make and Sign facta fraud alert verification form

Edit
Edit your 491637467 form form online
Type text, complete fillable fields, insert images, highlight or blackout data for discretion, add comments, and more.
Add
Add your legally-binding signature
Draw or type your signature, upload a signature image, or capture it with your digital camera.
Share
Share your form instantly
Email, fax, or share your 491637467 form form via URL. You can also download, print, or export forms to your preferred cloud storage service.

How to edit 491637467 form online

9.5
Ease of Setup
pdfFiller User Ratings on G2
9.0
Ease of Use
pdfFiller User Ratings on G2
To use our professional PDF editor, follow these steps:
1
Register the account. Begin by clicking Start Free Trial and create a profile if you are a new user.
2
Simply add a document. Select Add New from your Dashboard and import a file into the system by uploading it from your device or importing it via the cloud, online, or internal mail. Then click Begin editing.
3
Edit 491637467 form. Rearrange and rotate pages, add new and changed texts, add new objects, and use other useful tools. When you're done, click Done. You can use the Documents tab to merge, split, lock, or unlock your files.
4
Save your file. Select it from your records list. Then, click the right toolbar and select one of the various exporting options: save in numerous formats, download as PDF, email, or cloud.
Dealing with documents is always simple with pdfFiller. Try it right now

Uncompromising security for your PDF editing and eSignature needs

Your private information is safe with pdfFiller. We employ end-to-end encryption, secure cloud storage, and advanced access control to protect your documents and maintain regulatory compliance.
GDPR
AICPA SOC 2
PCI
HIPAA
CCPA
FDA

How to fill out 491637467 form

Illustration

How to fill out 491637467

01
To fill out 491637467, you need to follow these steps:
02
Start by gathering all the relevant information required to complete the form.
03
Carefully read the instructions provided with the form to understand the purpose and any specific requirements.
04
Begin by entering your personal information accurately in the designated fields. This may include your name, address, contact details, and any other information required.
05
Proceed to provide any additional required details or answer specific questions as prompted by the form.
06
Double-check all the information you have entered to ensure its accuracy and completeness.
07
If any supporting documents are required, make sure to attach them securely to the form as instructed.
08
Review the filled form once again to ensure all necessary information has been provided and all fields have been completed.
09
Finally, sign and date the form if necessary.
10
Submit the filled form as per the instructions provided with the form.

Who needs 491637467?

01
Different individuals or organizations may need to fill out 491637467 depending on the specific circumstances. Some common examples include:
02
- Individuals applying for a particular service or benefit
03
- Companies or organizations seeking certain permits or licenses
04
- Students applying for educational programs or grants
05
- Legal entities involved in official paperwork or documentation processes
06
- Any person or entity required to provide specific information or complete a form as per legal or administrative requirements.
Fill form : Try Risk Free
Users Most Likely To Recommend - Summer 2025
Grid Leader in Small-Business - Summer 2025
High Performer - Summer 2025
Regional Leader - Summer 2025
Easiest To Do Business With - Summer 2025
Best Meets Requirements- Summer 2025
Rate the form
4.6
Satisfied
49 Votes

For pdfFiller’s FAQs

Below is a list of the most common customer questions. If you can’t find an answer to your question, please don’t hesitate to reach out to us.

When you're ready to share your 491637467 form, you can send it to other people and get the eSigned document back just as quickly. Share your PDF by email, fax, text message, or USPS mail. You can also notarize your PDF on the web. You don't have to leave your account to do this.
Yes. With pdfFiller for Chrome, you can eSign documents and utilize the PDF editor all in one spot. Create a legally enforceable eSignature by sketching, typing, or uploading a handwritten signature image. You may eSign your 491637467 form in seconds.
Create your eSignature using pdfFiller and then eSign your 491637467 form immediately from your email with pdfFiller's Gmail add-on. To keep your signatures and signed papers, you must create an account.
491637467 is a form used for reporting various types of income, such as wages, interest, dividends, and self-employment earnings.
Individuals who have received income during the tax year are required to file 491637467.
You can fill out 491637467 by providing all the necessary information about your income in the appropriate sections of the form.
The purpose of 491637467 is to report all income received during the tax year to the IRS.
You must report all types of income you received, including wages, interest, dividends, and self-employment earnings.
Fill out your 491637467 form online with pdfFiller!

pdfFiller is an end-to-end solution for managing, creating, and editing documents and forms in the cloud. Save time and hassle by preparing your tax forms online.

Get started now
Form preview
If you believe that this page should be taken down, please follow our DMCA take down process here .
This form may include fields for payment information. Data entered in these fields is not covered by PCI DSS compliance.