Form preview

Get the free Papers & Essays: Crash Course Study Skills #9 - YouTube template

Get Form
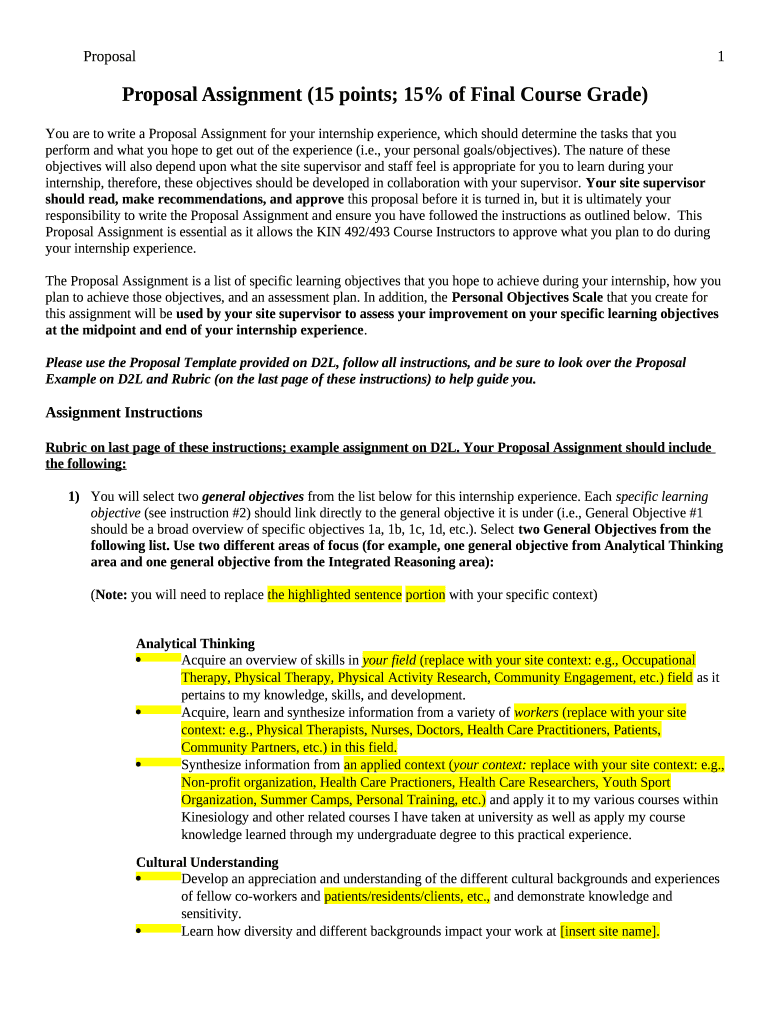
Proposal Assignment (15 points; 15% of Final Course Grade)You are to write a Proposal Assignment for your internship experience, which should determine the tasks that you perform and what you hope
We are not affiliated with any brand or entity on this form

Get, Create, Make and Sign papers ampampamp essays crash

Edit
Edit your papers ampampamp essays crash form online
Type text, complete fillable fields, insert images, highlight or blackout data for discretion, add comments, and more.
Add
Add your legally-binding signature
Draw or type your signature, upload a signature image, or capture it with your digital camera.
Share
Share your form instantly
Email, fax, or share your papers ampampamp essays crash form via URL. You can also download, print, or export forms to your preferred cloud storage service.

How to edit papers ampampamp essays crash online

9.5
Ease of Setup
pdfFiller User Ratings on G2
9.0
Ease of Use
pdfFiller User Ratings on G2
Use the instructions below to start using our professional PDF editor:
1
Create an account. Begin by choosing Start Free Trial and, if you are a new user, establish a profile.
2
Upload a file. Select Add New on your Dashboard and upload a file from your device or import it from the cloud, online, or internal mail. Then click Edit.
3
Edit papers ampampamp essays crash. Add and change text, add new objects, move pages, add watermarks and page numbers, and more. Then click Done when you're done editing and go to the Documents tab to merge or split the file. If you want to lock or unlock the file, click the lock or unlock button.
4
Get your file. Select the name of your file in the docs list and choose your preferred exporting method. You can download it as a PDF, save it in another format, send it by email, or transfer it to the cloud.
With pdfFiller, it's always easy to work with documents.

Uncompromising security for your PDF editing and eSignature needs

Your private information is safe with pdfFiller. We employ end-to-end encryption, secure cloud storage, and advanced access control to protect your documents and maintain regulatory compliance.
GDPR
AICPA SOC 2
PCI
HIPAA
CCPA
FDA

How to fill out papers ampampamp essays crash

Illustration

How to fill out papers ampampamp essays crash

01
Start by reading and understanding the prompt or instructions given for the paper or essay.
02
Gather all the necessary materials, such as books, articles, or any other resources that may be required to complete the paper or essay.
03
Create a plan or outline for your paper or essay. This will help you organize your thoughts and ensure a logical flow of ideas.
04
Begin with an introduction that grabs the reader's attention and provides a brief overview of what will be discussed in the paper or essay.
05
Divide the body of the paper or essay into several paragraphs, each focusing on a specific point or idea. Use evidence and examples to support your arguments.
06
Make sure to cite any sources used in the paper or essay. Use a consistent citation style, such as APA or MLA, as required.
07
Write a conclusion that summarizes the main points discussed in the paper or essay and provides a final thought or reflection on the topic.
08
Proofread and edit your work to check for any grammatical or spelling errors. Make sure the paper or essay is well-structured and coherent.
09
Finally, submit your completed paper or essay according to the given instructions or deadline.

Who needs papers ampampamp essays crash?

01
Anyone who is studying or working in an academic or professional setting may need papers and essays crash.
02
Students often need assistance with writing papers and essays to improve their academic performance or to meet assignment requirements.
03
Professionals may need papers and essays crash to enhance their writing skills or to communicate effectively in their field of work.
04
Individuals who are preparing for competitive exams or interviews may also need papers and essays crash to develop effective written communication skills.
05
Overall, anyone who wants to improve their writing abilities or requires assistance in completing papers and essays can benefit from papers and essays crash.

What is Papers & Essays: Crash Course Study Skills #9 - YouTube Form?

The Papers & Essays: Crash Course Study Skills #9 - YouTube is a fillable form in MS Word extension needed to be submitted to the required address in order to provide specific information. It must be filled-out and signed, which can be done manually, or with the help of a particular software like PDFfiller. It allows to complete any PDF or Word document right in the web, customize it depending on your purposes and put a legally-binding electronic signature. Right away after completion, user can easily send the Papers & Essays: Crash Course Study Skills #9 - YouTube to the appropriate receiver, or multiple individuals via email or fax. The blank is printable as well from PDFfiller feature and options offered for printing out adjustment. Both in digital and physical appearance, your form will have got organized and professional appearance. You can also save it as the template to use it later, so you don't need to create a new document from scratch. Just customize the ready document.

Instructions for the Papers & Essays: Crash Course Study Skills #9 - YouTube form

Once you're about to fill out Papers & Essays: Crash Course Study Skills #9 - YouTube Word form, remember to have prepared all the information required. It's a important part, since typos may trigger unwanted consequences starting with re-submission of the full blank and filling out with deadlines missed and even penalties. You have to be careful when writing down digits. At first sight, it might seem to be very simple. However, you can easily make a mistake. Some people use some sort of a lifehack keeping their records in a separate document or a record book and then attach this information into documents' samples. Anyway, put your best with all efforts and present true and correct information in Papers & Essays: Crash Course Study Skills #9 - YouTube form, and doublecheck it while filling out all the fields. If it appears that some mistakes still persist, you can easily make some more corrections when working with PDFfiller tool and avoid missed deadlines.

How should you fill out the Papers & Essays: Crash Course Study Skills #9 - YouTube template

To be able to start completing the form Papers & Essays: Crash Course Study Skills #9 - YouTube, you need a blank. When using PDFfiller for filling out and filing, you can find it in a few ways:

  • Get the Papers & Essays: Crash Course Study Skills #9 - YouTube form in PDFfiller’s library.
  • If you didn't find a required one, upload template via your device in Word or PDF format.
  • Create the writable document all by yourself in PDF creation tool adding all necessary fields in the editor.

Regardless of what choise you make, you will have all features you need for your use. The difference is that the Word template from the archive contains the required fillable fields, you need to create them on your own in the second and third options. But nevertheless, this procedure is dead simple thing and makes your sample really convenient to fill out. These fillable fields can be placed on the pages, and also deleted. Their types depend on their functions, whether you're typing in text, date, or place checkmarks. There is also a e-sign field if you need the document to be signed by other people. You also can put your own signature with the help of the signing tool. When everything is set, all you have to do is press Done and move to the distribution of the form.

Fill form : Try Risk Free
Users Most Likely To Recommend - Summer 2025
Grid Leader in Small-Business - Summer 2025
High Performer - Summer 2025
Regional Leader - Summer 2025
Easiest To Do Business With - Summer 2025
Best Meets Requirements- Summer 2025
Rate the form
4.8
Satisfied
50 Votes

For pdfFiller’s FAQs

Below is a list of the most common customer questions. If you can’t find an answer to your question, please don’t hesitate to reach out to us.

pdfFiller and Google Docs can be used together to make your documents easier to work with and to make fillable forms right in your Google Drive. The integration will let you make, change, and sign documents, like papers ampampamp essays crash, without leaving Google Drive. Add pdfFiller's features to Google Drive, and you'll be able to do more with your paperwork on any internet-connected device.
With pdfFiller, you may easily complete and sign papers ampampamp essays crash online. It lets you modify original PDF material, highlight, blackout, erase, and write text anywhere on a page, legally eSign your document, and do a lot more. Create a free account to handle professional papers online.
Install the pdfFiller app on your iOS device to fill out papers. If you have a subscription to the service, create an account or log in to an existing one. After completing the registration process, upload your papers ampampamp essays crash. You may now use pdfFiller's advanced features, such as adding fillable fields and eSigning documents, and accessing them from any device, wherever you are.
Papers ampampamp essays crash refers to a specific type of documentation or form that might be related to academic submissions, possibly involving nuanced requirements in a specialized field.
Typically, students, researchers, or professionals who are submitting academic or scholarly work are required to file papers ampampamp essays crash.
To fill out papers ampampamp essays crash, you should gather required information, follow the provided guidelines, and ensure that all sections are accurately completed before submission.
The purpose of papers ampampamp essays crash is to formally document academic work, ensuring proper assessment and acknowledgment by relevant authorities or institutions.
Information typically required includes author details, title of the work, abstract, keywords, and any relevant institutional affiliations or funding sources.
Fill out your papers ampampamp essays crash online with pdfFiller!

pdfFiller is an end-to-end solution for managing, creating, and editing documents and forms in the cloud. Save time and hassle by preparing your tax forms online.

Get started now
Form preview
If you believe that this page should be taken down, please follow our DMCA take down process here .
This form may include fields for payment information. Data entered in these fields is not covered by PCI DSS compliance.