Get the free Copy Exact Awareness Training Test of Knowledge
Show details
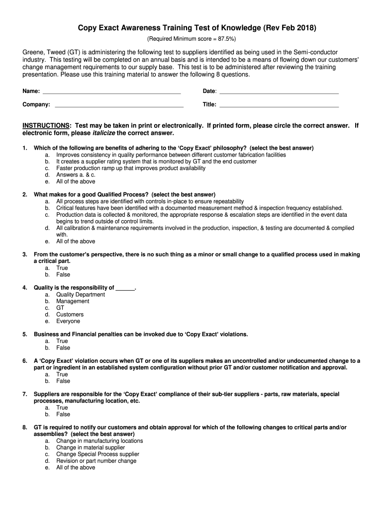
Copy Exact Awareness Training Test of Knowledge (Rev Feb 2018) (Required Minimum score 87.5%)Greene, Tweed (GT) is administering the following test to suppliers identified as being used in the Semiconductor
We are not affiliated with any brand or entity on this form
Get, Create, Make and Sign copy exact awareness training
Edit your copy exact awareness training form online
Type text, complete fillable fields, insert images, highlight or blackout data for discretion, add comments, and more.
Add your legally-binding signature
Draw or type your signature, upload a signature image, or capture it with your digital camera.
Share your form instantly
Email, fax, or share your copy exact awareness training form via URL. You can also download, print, or export forms to your preferred cloud storage service.
Editing copy exact awareness training online
Here are the steps you need to follow to get started with our professional PDF editor:
1
Register the account. Begin by clicking Start Free Trial and create a profile if you are a new user.
2
Upload a file. Select Add New on your Dashboard and upload a file from your device or import it from the cloud, online, or internal mail. Then click Edit.
3
Edit copy exact awareness training. Rearrange and rotate pages, insert new and alter existing texts, add new objects, and take advantage of other helpful tools. Click Done to apply changes and return to your Dashboard. Go to the Documents tab to access merging, splitting, locking, or unlocking functions.
4
Save your file. Select it from your list of records. Then, move your cursor to the right toolbar and choose one of the exporting options. You can save it in multiple formats, download it as a PDF, send it by email, or store it in the cloud, among other things.
pdfFiller makes working with documents easier than you could ever imagine. Register for an account and see for yourself!
Uncompromising security for your PDF editing and eSignature needs
Your private information is safe with pdfFiller. We employ end-to-end encryption, secure cloud storage, and advanced access control to protect your documents and maintain regulatory compliance.
How to fill out copy exact awareness training
How to fill out copy exact awareness training
01
To fill out the copy exact awareness training, follow these steps:
02
Begin by accessing the training material provided.
03
Read through the instructions and guidelines carefully to understand the purpose and goals of the training.
04
Familiarize yourself with the concept of copy exact and its significance in the context of the training.
05
Start filling out the training form or questionnaire by providing accurate and relevant information.
06
Answer all the questions based on your understanding and knowledge of copy exact practices.
07
Take your time to ensure that all responses are clear, concise, and reflective of your comprehension of the subject matter.
08
Review your answers to double-check for any errors or omissions before finalizing the form.
09
Submit the completed copy exact awareness training form as instructed, either digitally or through the specified method.
10
Once submitted, keep a copy of the training form for future reference or documentation purposes.
11
If there are any follow-up actions or additional steps required after completing the training, be sure to adhere to them accordingly.
Who needs copy exact awareness training?
01
Copy exact awareness training is beneficial for individuals or professionals who are involved in industries and occupations that require precision, accuracy, and adherence to strict standards.
02
This training may be necessary for:
03
- Manufacturing personnel working with sensitive equipment or machinery where even slight discrepancies can have significant consequences.
04
- Quality control professionals responsible for ensuring that products and processes meet specific specifications.
05
- Designers or engineers working on projects where exact replication is crucial for consistency and functionality.
06
- Data entry operators or clerks dealing with sensitive information or critical records.
07
- Any individual who wants to improve their attention to detail and enhance their understanding of copy exact practices.
08
Ultimately, anyone working in a field where precision and replication are paramount can benefit from copy exact awareness training.
Fill
form
: Try Risk Free
For pdfFiller’s FAQs
Below is a list of the most common customer questions. If you can’t find an answer to your question, please don’t hesitate to reach out to us.
How can I modify copy exact awareness training without leaving Google Drive?
People who need to keep track of documents and fill out forms quickly can connect PDF Filler to their Google Docs account. This means that they can make, edit, and sign documents right from their Google Drive. Make your copy exact awareness training into a fillable form that you can manage and sign from any internet-connected device with this add-on.
Where do I find copy exact awareness training?
It's simple using pdfFiller, an online document management tool. Use our huge online form collection (over 25M fillable forms) to quickly discover the copy exact awareness training. Open it immediately and start altering it with sophisticated capabilities.
Can I create an electronic signature for the copy exact awareness training in Chrome?
Yes. With pdfFiller for Chrome, you can eSign documents and utilize the PDF editor all in one spot. Create a legally enforceable eSignature by sketching, typing, or uploading a handwritten signature image. You may eSign your copy exact awareness training in seconds.
What is copy exact awareness training?
Copy exact awareness training is a specialized training program designed to ensure that employees understand the importance of adhering to established processes and protocols within a manufacturing or production environment. It emphasizes the need to replicate processes exactly to maintain product quality and regulatory compliance.
Who is required to file copy exact awareness training?
Typically, all employees involved in the manufacturing, quality assurance, and compliance processes within regulated industries are required to complete copy exact awareness training to ensure they understand and comply with the relevant procedures.
How to fill out copy exact awareness training?
To fill out copy exact awareness training, participants usually follow a structured format provided by the training program. This often includes documenting their understanding of the training content, confirming completion through a signature or electronic acknowledgment, and providing any necessary feedback.
What is the purpose of copy exact awareness training?
The purpose of copy exact awareness training is to minimize variability in production processes, ensure compliance with industry standards, enhance product quality, and prevent errors by promoting a clear understanding of the procedures that must be followed.
What information must be reported on copy exact awareness training?
The information that must be reported typically includes the participant's name, date of training, completion status, trainer’s name, and any notes or evaluations regarding the understanding and adherence to the training content.
Fill out your copy exact awareness training online with pdfFiller!
pdfFiller is an end-to-end solution for managing, creating, and editing documents and forms in the cloud. Save time and hassle by preparing your tax forms online.
Copy Exact Awareness Training is not the form you're looking for?Search for another form here.
Relevant keywords
Related Forms
If you believe that this page should be taken down, please follow our DMCA take down process
here
.
This form may include fields for payment information. Data entered in these fields is not covered by PCI DSS compliance.