
Get the free CERTIFICATED RECRUITMENT FAIRE (PSL-P008B)
Show details
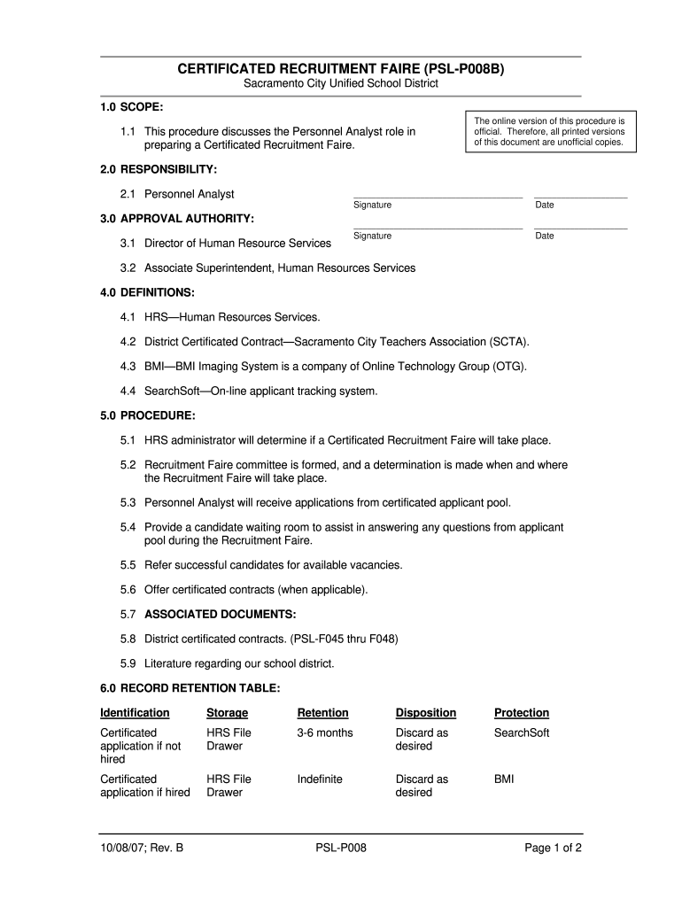
CERTIFICATED RECRUITMENT FIRE (PSLP008B) Sacramento City Unified School District 1.0 SCOPE: 1.1 This procedure discusses the Personnel Analyst role in preparing a Certificated Recruitment Free. The
We are not affiliated with any brand or entity on this form
Get, Create, Make and Sign certificated recruitment faire psl-p008b

Edit your certificated recruitment faire psl-p008b form online
Type text, complete fillable fields, insert images, highlight or blackout data for discretion, add comments, and more.

Add your legally-binding signature
Draw or type your signature, upload a signature image, or capture it with your digital camera.

Share your form instantly
Email, fax, or share your certificated recruitment faire psl-p008b form via URL. You can also download, print, or export forms to your preferred cloud storage service.
How to edit certificated recruitment faire psl-p008b online
To use our professional PDF editor, follow these steps:
1
Create an account. Begin by choosing Start Free Trial and, if you are a new user, establish a profile.
2
Upload a file. Select Add New on your Dashboard and upload a file from your device or import it from the cloud, online, or internal mail. Then click Edit.
3
Edit certificated recruitment faire psl-p008b. Replace text, adding objects, rearranging pages, and more. Then select the Documents tab to combine, divide, lock or unlock the file.
4
Save your file. Select it in the list of your records. Then, move the cursor to the right toolbar and choose one of the available exporting methods: save it in multiple formats, download it as a PDF, send it by email, or store it in the cloud.
With pdfFiller, it's always easy to deal with documents.
Uncompromising security for your PDF editing and eSignature needs
Your private information is safe with pdfFiller. We employ end-to-end encryption, secure cloud storage, and advanced access control to protect your documents and maintain regulatory compliance.
How to fill out certificated recruitment faire psl-p008b

How to fill out certificated recruitment faire psl-p008b
01
Start by obtaining the certificated recruitment faire psl-p008b form.
02
Read the instructions carefully and gather all the necessary information and documents.
03
Begin by filling out the personal information section, including your full name, contact details, and address.
04
Provide information about your educational background, including your degrees, certifications, and relevant coursework.
05
Fill in the employment history section, listing your previous jobs, positions held, and responsibilities.
06
If applicable, provide details about any specialized training or skills you possess.
07
Complete the section related to your language proficiency.
08
Make sure to answer all the additional questions or requirements mentioned in the form.
09
Review the completed form for any errors or missing information.
10
Sign and date the form.
11
Submit the filled-out certificated recruitment faire psl-p008b form to the designated authority.
Who needs certificated recruitment faire psl-p008b?
01
Anyone who is interested in participating in a recruitment faire and specifically requires the certificated recruitment faire psl-p008b form.
Fill
form
: Try Risk Free
For pdfFiller’s FAQs
Below is a list of the most common customer questions. If you can’t find an answer to your question, please don’t hesitate to reach out to us.
How can I manage my certificated recruitment faire psl-p008b directly from Gmail?
You can use pdfFiller’s add-on for Gmail in order to modify, fill out, and eSign your certificated recruitment faire psl-p008b along with other documents right in your inbox. Find pdfFiller for Gmail in Google Workspace Marketplace. Use time you spend on handling your documents and eSignatures for more important things.
Can I create an electronic signature for signing my certificated recruitment faire psl-p008b in Gmail?
You can easily create your eSignature with pdfFiller and then eSign your certificated recruitment faire psl-p008b directly from your inbox with the help of pdfFiller’s add-on for Gmail. Please note that you must register for an account in order to save your signatures and signed documents.
How do I fill out certificated recruitment faire psl-p008b using my mobile device?
Use the pdfFiller mobile app to complete and sign certificated recruitment faire psl-p008b on your mobile device. Visit our web page (https://edit-pdf-ios-android.pdffiller.com/) to learn more about our mobile applications, the capabilities you’ll have access to, and the steps to take to get up and running.
What is certificated recruitment faire psl-p008b?
Certificated recruitment faire psl-p008b is a form used to report the recruitment efforts and compliance with hiring regulations for specific positions within educational institutions.
Who is required to file certificated recruitment faire psl-p008b?
Educational institutions and employers hiring certificated staff, such as teachers and administrators, are required to file certificated recruitment faire psl-p008b.
How to fill out certificated recruitment faire psl-p008b?
To fill out certificated recruitment faire psl-p008b, follow the instructions provided with the form, including entering the details about the recruitment process, candidate selection, and compliance with relevant education laws.
What is the purpose of certificated recruitment faire psl-p008b?
The purpose of certificated recruitment faire psl-p008b is to ensure transparency and accountability in the hiring process for certificated positions, focusing on equal opportunity and compliance with recruitment regulations.
What information must be reported on certificated recruitment faire psl-p008b?
The form must report information such as the recruitment methods used, the number of applicants, candidate qualifications, selection criteria, and compliance with hiring laws.
Fill out your certificated recruitment faire psl-p008b online with pdfFiller!
pdfFiller is an end-to-end solution for managing, creating, and editing documents and forms in the cloud. Save time and hassle by preparing your tax forms online.

Certificated Recruitment Faire Psl-p008b is not the form you're looking for?Search for another form here.
Relevant keywords
Related Forms
If you believe that this page should be taken down, please follow our DMCA take down process
here
.
This form may include fields for payment information. Data entered in these fields is not covered by PCI DSS compliance.