
Get the free 42012 QJGC-MRR-R&R Jurisdictional Bethel
Show details
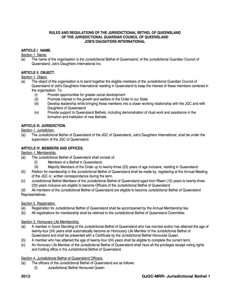
RULES AND REGULATIONS OF THE JURISDICTIONAL ETHEL OF QUEENSLAND
OF THE JURISDICTIONAL GUARDIAN COUNCIL OF QUEENSLAND
JOB\'S DAUGHTERS INTERNATIONAL
ARTICLE I. NAME.
Section 1. Name.
(a)
The name of
We are not affiliated with any brand or entity on this form
Get, Create, Make and Sign 42012 qjgc-mrr-rampampr jurisdictional beforml

Edit your 42012 qjgc-mrr-rampampr jurisdictional beforml form online
Type text, complete fillable fields, insert images, highlight or blackout data for discretion, add comments, and more.

Add your legally-binding signature
Draw or type your signature, upload a signature image, or capture it with your digital camera.

Share your form instantly
Email, fax, or share your 42012 qjgc-mrr-rampampr jurisdictional beforml form via URL. You can also download, print, or export forms to your preferred cloud storage service.
Editing 42012 qjgc-mrr-rampampr jurisdictional beforml online
Follow the guidelines below to use a professional PDF editor:
1
Sign into your account. In case you're new, it's time to start your free trial.
2
Upload a file. Select Add New on your Dashboard and upload a file from your device or import it from the cloud, online, or internal mail. Then click Edit.
3
Edit 42012 qjgc-mrr-rampampr jurisdictional beforml. Rearrange and rotate pages, add and edit text, and use additional tools. To save changes and return to your Dashboard, click Done. The Documents tab allows you to merge, divide, lock, or unlock files.
4
Save your file. Select it from your list of records. Then, move your cursor to the right toolbar and choose one of the exporting options. You can save it in multiple formats, download it as a PDF, send it by email, or store it in the cloud, among other things.
Uncompromising security for your PDF editing and eSignature needs
Your private information is safe with pdfFiller. We employ end-to-end encryption, secure cloud storage, and advanced access control to protect your documents and maintain regulatory compliance.
How to fill out 42012 qjgc-mrr-rampampr jurisdictional beforml

How to fill out 42012 qjgc-mrr-rampampr jurisdictional beforml
01
To fill out the 42012 qjgc-mrr-rampampr jurisdictional beforml, follow these steps:
02
Start by entering the relevant personal information such as your name, address, contact details, and identification number.
03
Provide details about the jurisdictional matter for which you are filing the form. Include the case number, court name, and other relevant information.
04
Fill out the sections that require you to provide a detailed explanation of the jurisdictional issue. Provide any supporting documentation or evidence if necessary.
05
Specify any legal representation you might have for the case, including the name and contact details of your attorney if applicable.
06
Review the completed form for accuracy and make any necessary corrections before submitting it.
07
Sign and date the form to certify its authenticity.
08
Submit the filled-out form to the appropriate jurisdictional authority as instructed.
09
Keep a copy of the filled-out form and any supporting documents for your records.
Who needs 42012 qjgc-mrr-rampampr jurisdictional beforml?
01
The 42012 qjgc-mrr-rampampr jurisdictional beforml is required by individuals or entities involved in a legal case that falls under the jurisdiction of a specific court or governing body.
02
This form is typically needed by plaintiffs, defendants, or their legal representatives who are required to provide detailed information about the jurisdictional matter at hand.
03
Other interested parties, such as witnesses or affected third parties, may also need to fill out this form if it is relevant to their involvement in the case.
Fill
form
: Try Risk Free
For pdfFiller’s FAQs
Below is a list of the most common customer questions. If you can’t find an answer to your question, please don’t hesitate to reach out to us.
How do I execute 42012 qjgc-mrr-rampampr jurisdictional beforml online?
pdfFiller has made it simple to fill out and eSign 42012 qjgc-mrr-rampampr jurisdictional beforml. The application has capabilities that allow you to modify and rearrange PDF content, add fillable fields, and eSign the document. Begin a free trial to discover all of the features of pdfFiller, the best document editing solution.
Can I create an electronic signature for the 42012 qjgc-mrr-rampampr jurisdictional beforml in Chrome?
As a PDF editor and form builder, pdfFiller has a lot of features. It also has a powerful e-signature tool that you can add to your Chrome browser. With our extension, you can type, draw, or take a picture of your signature with your webcam to make your legally-binding eSignature. Choose how you want to sign your 42012 qjgc-mrr-rampampr jurisdictional beforml and you'll be done in minutes.
How do I fill out 42012 qjgc-mrr-rampampr jurisdictional beforml using my mobile device?
The pdfFiller mobile app makes it simple to design and fill out legal paperwork. Complete and sign 42012 qjgc-mrr-rampampr jurisdictional beforml and other papers using the app. Visit pdfFiller's website to learn more about the PDF editor's features.
What is 42012 qjgc-mrr-rampampr jurisdictional beforml?
42012 qjgc-mrr-rampampr jurisdictional beforml is a form used to report jurisdictional information related to a specific matter or case.
Who is required to file 42012 qjgc-mrr-rampampr jurisdictional beforml?
Any party involved in the matter or case that falls under the jurisdictional requirements is required to file 42012 qjgc-mrr-rampampr jurisdictional beforml.
How to fill out 42012 qjgc-mrr-rampampr jurisdictional beforml?
42012 qjgc-mrr-rampampr jurisdictional beforml should be filled out according to the instructions provided on the form, including providing all relevant information accurately and completely.
What is the purpose of 42012 qjgc-mrr-rampampr jurisdictional beforml?
The purpose of 42012 qjgc-mrr-rampampr jurisdictional beforml is to ensure that all necessary jurisdictional information is reported and made available for the specific matter or case.
What information must be reported on 42012 qjgc-mrr-rampampr jurisdictional beforml?
Information such as the parties involved, the nature of the case, the jurisdictional basis, and any other relevant details must be reported on 42012 qjgc-mrr-rampampr jurisdictional beforml.
Fill out your 42012 qjgc-mrr-rampampr jurisdictional beforml online with pdfFiller!
pdfFiller is an end-to-end solution for managing, creating, and editing documents and forms in the cloud. Save time and hassle by preparing your tax forms online.

42012 Qjgc-Mrr-Rampampr Jurisdictional Beforml is not the form you're looking for?Search for another form here.
Relevant keywords
Related Forms
If you believe that this page should be taken down, please follow our DMCA take down process
here
.
This form may include fields for payment information. Data entered in these fields is not covered by PCI DSS compliance.