Form preview

Get the free waiver of right or remonstrance against - City Of Shelbyville

Get Form
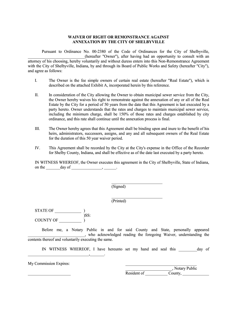
WAIVER OF RIGHT OR REMONSTRANCE AGAINST ANNEXATION BY THE CITY OF SHELBYVILLE Pursuant to Ordinance No. 002380 of the Code of Ordinances for the City of Shelbyville, (hereafter “Owner “), after
We are not affiliated with any brand or entity on this form

Get, Create, Make and Sign waiver of right or

Edit
Edit your waiver of right or form online
Type text, complete fillable fields, insert images, highlight or blackout data for discretion, add comments, and more.
Add
Add your legally-binding signature
Draw or type your signature, upload a signature image, or capture it with your digital camera.
Share
Share your form instantly
Email, fax, or share your waiver of right or form via URL. You can also download, print, or export forms to your preferred cloud storage service.

How to edit waiver of right or online

9.5
Ease of Setup
pdfFiller User Ratings on G2
9.0
Ease of Use
pdfFiller User Ratings on G2
Here are the steps you need to follow to get started with our professional PDF editor:
1
Log in to account. Start Free Trial and register a profile if you don't have one yet.
2
Upload a file. Select Add New on your Dashboard and upload a file from your device or import it from the cloud, online, or internal mail. Then click Edit.
3
Edit waiver of right or. Rearrange and rotate pages, insert new and alter existing texts, add new objects, and take advantage of other helpful tools. Click Done to apply changes and return to your Dashboard. Go to the Documents tab to access merging, splitting, locking, or unlocking functions.
4
Get your file. Select the name of your file in the docs list and choose your preferred exporting method. You can download it as a PDF, save it in another format, send it by email, or transfer it to the cloud.
pdfFiller makes dealing with documents a breeze. Create an account to find out!

Uncompromising security for your PDF editing and eSignature needs

Your private information is safe with pdfFiller. We employ end-to-end encryption, secure cloud storage, and advanced access control to protect your documents and maintain regulatory compliance.
GDPR
AICPA SOC 2
PCI
HIPAA
CCPA
FDA

How to fill out waiver of right or

Illustration

How to fill out waiver of right or

01
Review the waiver of right form carefully before starting. Make sure you understand all the terms and conditions.
02
Provide your personal information, such as your name, address, and contact details, accurately and completely.
03
Identify the right or rights you wish to waive. Specify the specific rights and be clear in your intentions.
04
Date and sign the waiver of right form. Make sure to sign in the presence of a witness or notary public, if required.
05
Keep a copy of the filled-out waiver of right form for your records.

Who needs waiver of right or?

01
Any individual or entity involved in a legal situation where they are willing to give up certain rights can use a waiver of right form.
02
Common examples include individuals involved in legal disputes, employees signing employment agreements, participants in sports or recreational activities, etc.
03
It is important to note that the need for a waiver of right form may vary depending on the jurisdiction and specific circumstances of the situation.
04
Consult with a legal professional if you are unsure whether you need to fill out a waiver of right form.
Fill form : Try Risk Free
Users Most Likely To Recommend - Summer 2025
Grid Leader in Small-Business - Summer 2025
High Performer - Summer 2025
Regional Leader - Summer 2025
Easiest To Do Business With - Summer 2025
Best Meets Requirements- Summer 2025
Rate the form
4.3
Satisfied
24 Votes

For pdfFiller’s FAQs

Below is a list of the most common customer questions. If you can’t find an answer to your question, please don’t hesitate to reach out to us.

The premium pdfFiller subscription gives you access to over 25M fillable templates that you can download, fill out, print, and sign. The library has state-specific waiver of right or and other forms. Find the template you need and change it using powerful tools.
Filling out and eSigning waiver of right or is now simple. The solution allows you to change and reorganize PDF text, add fillable fields, and eSign the document. Start a free trial of pdfFiller, the best document editing solution.
You can quickly make and fill out legal forms with the help of the pdfFiller app on your phone. Complete and sign waiver of right or and other documents on your mobile device using the application. If you want to learn more about how the PDF editor works, go to pdfFiller.com.
Fill out your waiver of right or online with pdfFiller!

pdfFiller is an end-to-end solution for managing, creating, and editing documents and forms in the cloud. Save time and hassle by preparing your tax forms online.

Get started now
Form preview
If you believe that this page should be taken down, please follow our DMCA take down process here .
This form may include fields for payment information. Data entered in these fields is not covered by PCI DSS compliance.