
Get the free AMADOR COUNTY SPECIAL EDUCATION LOCAL PLAN AREA (SELPA ...
Show details
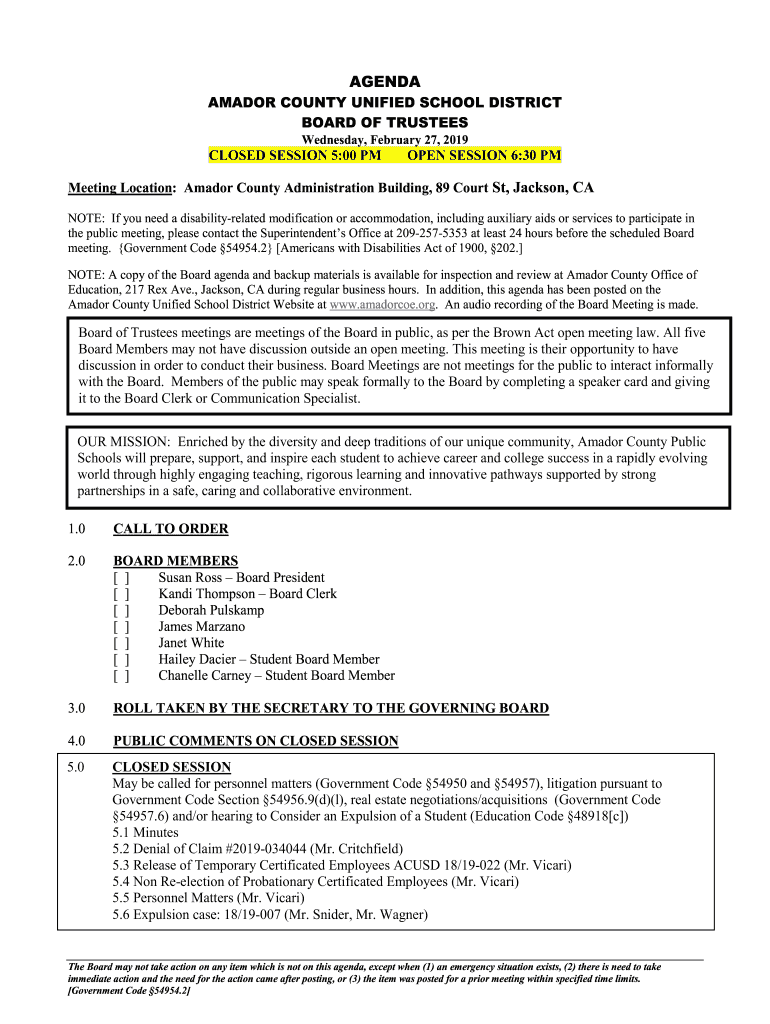
AGENDA
AMADOR COUNTY UNIFIED SCHOOL DISTRICT
BOARD OF TRUSTEES
Wednesday, February 27, 2019CLOSED SESSION 5:00 PMO PEN SESSION 6:30 Meeting Location: Amador County Administration Building, 89 Court
We are not affiliated with any brand or entity on this form
Get, Create, Make and Sign amador county special education

Edit your amador county special education form online
Type text, complete fillable fields, insert images, highlight or blackout data for discretion, add comments, and more.

Add your legally-binding signature
Draw or type your signature, upload a signature image, or capture it with your digital camera.

Share your form instantly
Email, fax, or share your amador county special education form via URL. You can also download, print, or export forms to your preferred cloud storage service.
Editing amador county special education online
To use the services of a skilled PDF editor, follow these steps:
1
Log in to account. Start Free Trial and register a profile if you don't have one yet.
2
Simply add a document. Select Add New from your Dashboard and import a file into the system by uploading it from your device or importing it via the cloud, online, or internal mail. Then click Begin editing.
3
Edit amador county special education. Add and replace text, insert new objects, rearrange pages, add watermarks and page numbers, and more. Click Done when you are finished editing and go to the Documents tab to merge, split, lock or unlock the file.
4
Get your file. When you find your file in the docs list, click on its name and choose how you want to save it. To get the PDF, you can save it, send an email with it, or move it to the cloud.
Dealing with documents is always simple with pdfFiller.
Uncompromising security for your PDF editing and eSignature needs
Your private information is safe with pdfFiller. We employ end-to-end encryption, secure cloud storage, and advanced access control to protect your documents and maintain regulatory compliance.
How to fill out amador county special education

How to fill out amador county special education
01
Obtain a copy of the Amador County Special Education form.
02
Read the instructions thoroughly to ensure you understand the requirements.
03
Provide the necessary personal information, including the student's name, date of birth, and contact details.
04
Specify the type of special education services needed.
05
Describe any existing disabilities or learning difficulties the student may have.
06
Include relevant medical and educational records to support the application.
07
Submit the completed form along with any supporting documents to the appropriate Amador County Special Education office.
08
Follow up with the office to confirm receipt and inquire about any additional steps or information needed.
Who needs amador county special education?
01
Amador County Special Education is designed for students who have disabilities or special learning needs that require additional support and services.
02
This may include students with various conditions such as autism, Down syndrome, hearing or visual impairments, learning disabilities, or emotional disturbances.
03
It is also available for students who have Individualized Education Programs (IEPs) that outline specific goals and accommodations necessary for their academic success.
04
Ultimately, the determination of whether a student needs Amador County Special Education is made through assessments and evaluations conducted by professionals in the field.
Fill
form
: Try Risk Free
For pdfFiller’s FAQs
Below is a list of the most common customer questions. If you can’t find an answer to your question, please don’t hesitate to reach out to us.
How can I manage my amador county special education directly from Gmail?
Using pdfFiller's Gmail add-on, you can edit, fill out, and sign your amador county special education and other papers directly in your email. You may get it through Google Workspace Marketplace. Make better use of your time by handling your papers and eSignatures.
How can I get amador county special education?
With pdfFiller, an all-in-one online tool for professional document management, it's easy to fill out documents. Over 25 million fillable forms are available on our website, and you can find the amador county special education in a matter of seconds. Open it right away and start making it your own with help from advanced editing tools.
Can I create an electronic signature for the amador county special education in Chrome?
Yes. By adding the solution to your Chrome browser, you can use pdfFiller to eSign documents and enjoy all of the features of the PDF editor in one place. Use the extension to create a legally-binding eSignature by drawing it, typing it, or uploading a picture of your handwritten signature. Whatever you choose, you will be able to eSign your amador county special education in seconds.
What is amador county special education?
Amador County special education refers to the programs and services provided to students with disabilities in the Amador County school district.
Who is required to file amador county special education?
Parents or guardians of students with disabilities are required to file for special education services in Amador County.
How to fill out amador county special education?
To fill out Amador County special education forms, parents or guardians need to provide information about the student's disability, educational needs, and goals.
What is the purpose of amador county special education?
The purpose of Amador County special education is to provide individualized support and services to students with disabilities to help them achieve academic success.
What information must be reported on amador county special education?
Information such as the student's disability diagnosis, educational history, current needs, and goals must be reported on Amador County special education forms.
Fill out your amador county special education online with pdfFiller!
pdfFiller is an end-to-end solution for managing, creating, and editing documents and forms in the cloud. Save time and hassle by preparing your tax forms online.

Amador County Special Education is not the form you're looking for?Search for another form here.
Relevant keywords
Related Forms
If you believe that this page should be taken down, please follow our DMCA take down process
here
.
This form may include fields for payment information. Data entered in these fields is not covered by PCI DSS compliance.