
Get the free Orientation Training for Child Care Providers - (DHS) - PA.gov
Show details
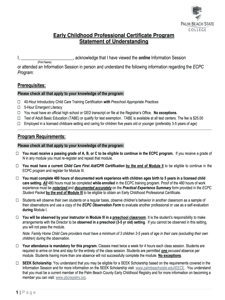
Early Childhood Professional Certificate Program Statement of Understanding I, acknowledge that I have viewed the online Information Session (Print Name)or attended an Information Session in person
We are not affiliated with any brand or entity on this form
Get, Create, Make and Sign orientation training for child

Edit your orientation training for child form online
Type text, complete fillable fields, insert images, highlight or blackout data for discretion, add comments, and more.

Add your legally-binding signature
Draw or type your signature, upload a signature image, or capture it with your digital camera.

Share your form instantly
Email, fax, or share your orientation training for child form via URL. You can also download, print, or export forms to your preferred cloud storage service.
Editing orientation training for child online
In order to make advantage of the professional PDF editor, follow these steps below:
1
Create an account. Begin by choosing Start Free Trial and, if you are a new user, establish a profile.
2
Simply add a document. Select Add New from your Dashboard and import a file into the system by uploading it from your device or importing it via the cloud, online, or internal mail. Then click Begin editing.
3
Edit orientation training for child. Rearrange and rotate pages, add and edit text, and use additional tools. To save changes and return to your Dashboard, click Done. The Documents tab allows you to merge, divide, lock, or unlock files.
4
Get your file. Select the name of your file in the docs list and choose your preferred exporting method. You can download it as a PDF, save it in another format, send it by email, or transfer it to the cloud.
pdfFiller makes dealing with documents a breeze. Create an account to find out!
Uncompromising security for your PDF editing and eSignature needs
Your private information is safe with pdfFiller. We employ end-to-end encryption, secure cloud storage, and advanced access control to protect your documents and maintain regulatory compliance.
How to fill out orientation training for child

How to fill out orientation training for child
01
Start by gathering all the necessary information about the child's identity, background, and medical history.
02
Review the orientation training materials provided by the organization and familiarize yourself with the content.
03
Follow any specific instructions or guidelines mentioned in the training materials.
04
Ensure that all required forms and documents are properly filled out, including consent forms, emergency contact information, and any additional forms related to the child's health or special needs.
05
Take note of any specific training sessions or workshops that might be required and make arrangements for attending them.
06
Communicate with the child's parents or guardians if there are any questions or concerns regarding the training or information to be provided.
07
Double-check all the information provided in the orientation training to ensure accuracy and completeness.
08
Submit the filled-out training materials to the appropriate person or department responsible for processing them.
09
Follow up with any additional steps or actions required after completing the orientation training for the child.
Who needs orientation training for child?
01
Anyone who will be responsible for the care or supervision of a child, such as parents, guardians, teachers, daycare providers, or volunteers, may need to undergo orientation training for child. This training helps ensure that individuals are properly informed about the child's needs, safety precautions, and any specific instructions or procedures to follow. It is especially important for those who work in healthcare, education, or child-related organizations to receive orientation training to ensure the well-being and protection of the child.
Fill
form
: Try Risk Free
For pdfFiller’s FAQs
Below is a list of the most common customer questions. If you can’t find an answer to your question, please don’t hesitate to reach out to us.
How can I modify orientation training for child without leaving Google Drive?
Simplify your document workflows and create fillable forms right in Google Drive by integrating pdfFiller with Google Docs. The integration will allow you to create, modify, and eSign documents, including orientation training for child, without leaving Google Drive. Add pdfFiller’s functionalities to Google Drive and manage your paperwork more efficiently on any internet-connected device.
How do I edit orientation training for child straight from my smartphone?
You can do so easily with pdfFiller’s applications for iOS and Android devices, which can be found at the Apple Store and Google Play Store, respectively. Alternatively, you can get the app on our web page: https://edit-pdf-ios-android.pdffiller.com/. Install the application, log in, and start editing orientation training for child right away.
How do I fill out the orientation training for child form on my smartphone?
The pdfFiller mobile app makes it simple to design and fill out legal paperwork. Complete and sign orientation training for child and other papers using the app. Visit pdfFiller's website to learn more about the PDF editor's features.
What is orientation training for child?
Orientation training for child is a program designed to introduce parents or guardians to the policies and procedures of a children's facility or program.
Who is required to file orientation training for child?
Parents or guardians are typically required to complete orientation training for their child at a children's facility or program.
How to fill out orientation training for child?
Orientation training for child can usually be filled out online or in person at the children's facility or program.
What is the purpose of orientation training for child?
The purpose of orientation training for child is to educate parents or guardians on the rules and regulations of the children's facility or program, ensuring the safety and well-being of the child.
What information must be reported on orientation training for child?
Information such as emergency contacts, medical information, allergies, and any special instructions for the child should be reported on orientation training for child.
Fill out your orientation training for child online with pdfFiller!
pdfFiller is an end-to-end solution for managing, creating, and editing documents and forms in the cloud. Save time and hassle by preparing your tax forms online.

Orientation Training For Child is not the form you're looking for?Search for another form here.
Relevant keywords
Related Forms
If you believe that this page should be taken down, please follow our DMCA take down process
here
.
This form may include fields for payment information. Data entered in these fields is not covered by PCI DSS compliance.