
Get the free RASCAL-nda
Show details
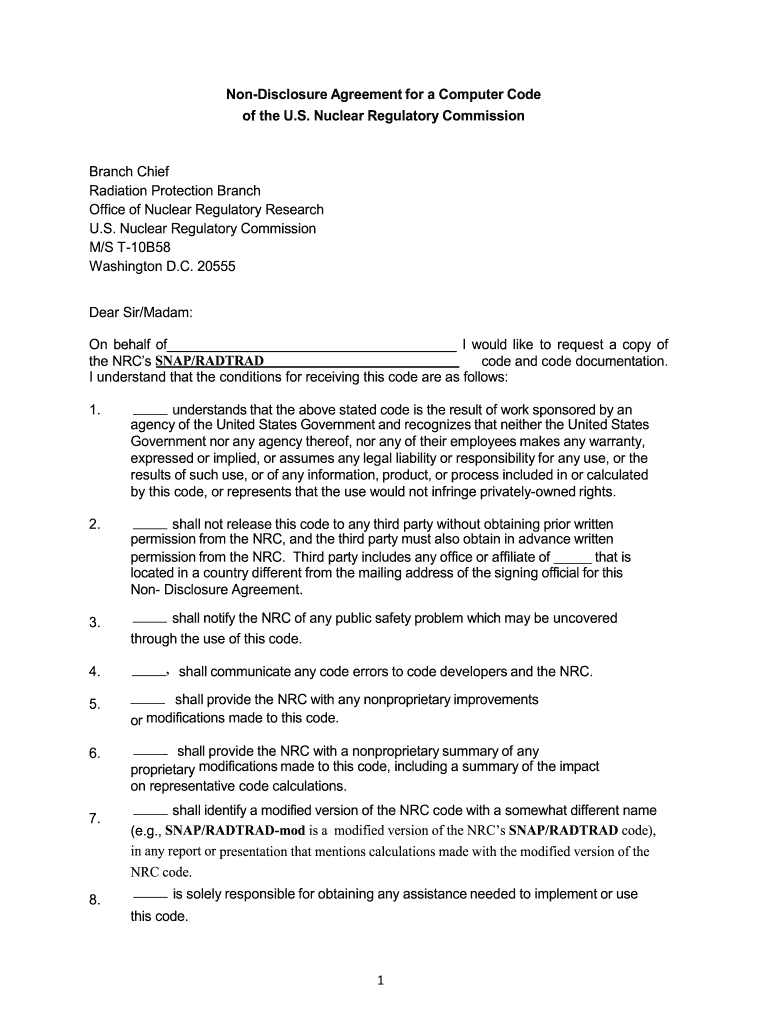
Nondisclosure Agreement for a Computer Code of the U.S. Nuclear Regulatory Commission Branch Chief Radiation Protection Branch Office of Nuclear Regulatory Research U.S. Nuclear Regulatory Commission
We are not affiliated with any brand or entity on this form
Get, Create, Make and Sign rascal-nda

Edit your rascal-nda form online
Type text, complete fillable fields, insert images, highlight or blackout data for discretion, add comments, and more.

Add your legally-binding signature
Draw or type your signature, upload a signature image, or capture it with your digital camera.

Share your form instantly
Email, fax, or share your rascal-nda form via URL. You can also download, print, or export forms to your preferred cloud storage service.
How to edit rascal-nda online
To use the professional PDF editor, follow these steps:
1
Create an account. Begin by choosing Start Free Trial and, if you are a new user, establish a profile.
2
Prepare a file. Use the Add New button to start a new project. Then, using your device, upload your file to the system by importing it from internal mail, the cloud, or adding its URL.
3
Edit rascal-nda. Add and change text, add new objects, move pages, add watermarks and page numbers, and more. Then click Done when you're done editing and go to the Documents tab to merge or split the file. If you want to lock or unlock the file, click the lock or unlock button.
4
Save your file. Select it from your records list. Then, click the right toolbar and select one of the various exporting options: save in numerous formats, download as PDF, email, or cloud.
With pdfFiller, it's always easy to work with documents.
Uncompromising security for your PDF editing and eSignature needs
Your private information is safe with pdfFiller. We employ end-to-end encryption, secure cloud storage, and advanced access control to protect your documents and maintain regulatory compliance.
How to fill out rascal-nda

How to fill out rascal-nda
01
Begin by downloading the Rascal-NDA form from the official website.
02
Read the instructions carefully to understand the purpose of each section.
03
Start with entering the date and providing your full name, address, and contact details.
04
Next, carefully review the terms and conditions mentioned in the agreement.
05
If you agree with the terms, provide all the necessary information about the other party involved.
06
Make sure to provide accurate details such as their name, address, and contact information.
07
Proceed with entering the specific obligations and responsibilities of both parties.
08
Clearly outline the confidential information that should be protected and not disclosed.
09
Specify the duration of the agreement and any conditions for termination.
10
Lastly, review the completed form to ensure all the information is accurate and readable.
11
Sign and date the document, and have the other party sign it as well.
12
Keep a copy of the filled-out Rascal-NDA form for your records.
Who needs rascal-nda?
01
Rascal-NDA is needed by individuals, businesses, or organizations that want to protect their confidential information during business transactions.
02
This can include startups sharing their innovative ideas with potential investors, companies disclosing proprietary technology during collaborations, or freelancers safeguarding client data.
03
In short, anyone who wishes to ensure that sensitive information remains confidential and is not misused or shared without permission can benefit from using the Rascal-NDA.
Fill
form
: Try Risk Free
For pdfFiller’s FAQs
Below is a list of the most common customer questions. If you can’t find an answer to your question, please don’t hesitate to reach out to us.
How do I complete rascal-nda online?
pdfFiller has made filling out and eSigning rascal-nda easy. The solution is equipped with a set of features that enable you to edit and rearrange PDF content, add fillable fields, and eSign the document. Start a free trial to explore all the capabilities of pdfFiller, the ultimate document editing solution.
Can I edit rascal-nda on an iOS device?
No, you can't. With the pdfFiller app for iOS, you can edit, share, and sign rascal-nda right away. At the Apple Store, you can buy and install it in a matter of seconds. The app is free, but you will need to set up an account if you want to buy a subscription or start a free trial.
How can I fill out rascal-nda on an iOS device?
Install the pdfFiller app on your iOS device to fill out papers. If you have a subscription to the service, create an account or log in to an existing one. After completing the registration process, upload your rascal-nda. You may now use pdfFiller's advanced features, such as adding fillable fields and eSigning documents, and accessing them from any device, wherever you are.
What is rascal-nda?
Rascal-NDA is a regulatory form used to report the use of certain chemicals and substances in the manufacturing process.
Who is required to file rascal-nda?
Manufacturers and importers of products containing specific chemicals are required to file the rascal-nda.
How to fill out rascal-nda?
To fill out rascal-nda, complete the required fields with accurate information regarding chemical usage, manufacturer details, and compliance data as specified in the instructions.
What is the purpose of rascal-nda?
The purpose of rascal-nda is to ensure regulatory compliance and track the use of certain chemicals to safeguard public health and the environment.
What information must be reported on rascal-nda?
Information such as chemical names, quantities, usage, manufacturer details, and compliance status must be reported on rascal-nda.
Fill out your rascal-nda online with pdfFiller!
pdfFiller is an end-to-end solution for managing, creating, and editing documents and forms in the cloud. Save time and hassle by preparing your tax forms online.

Rascal-Nda is not the form you're looking for?Search for another form here.
Relevant keywords
Related Forms
If you believe that this page should be taken down, please follow our DMCA take down process
here
.
This form may include fields for payment information. Data entered in these fields is not covered by PCI DSS compliance.