Get the free Nomination forms and instructions (PDF) - MSU College of ...
Show details
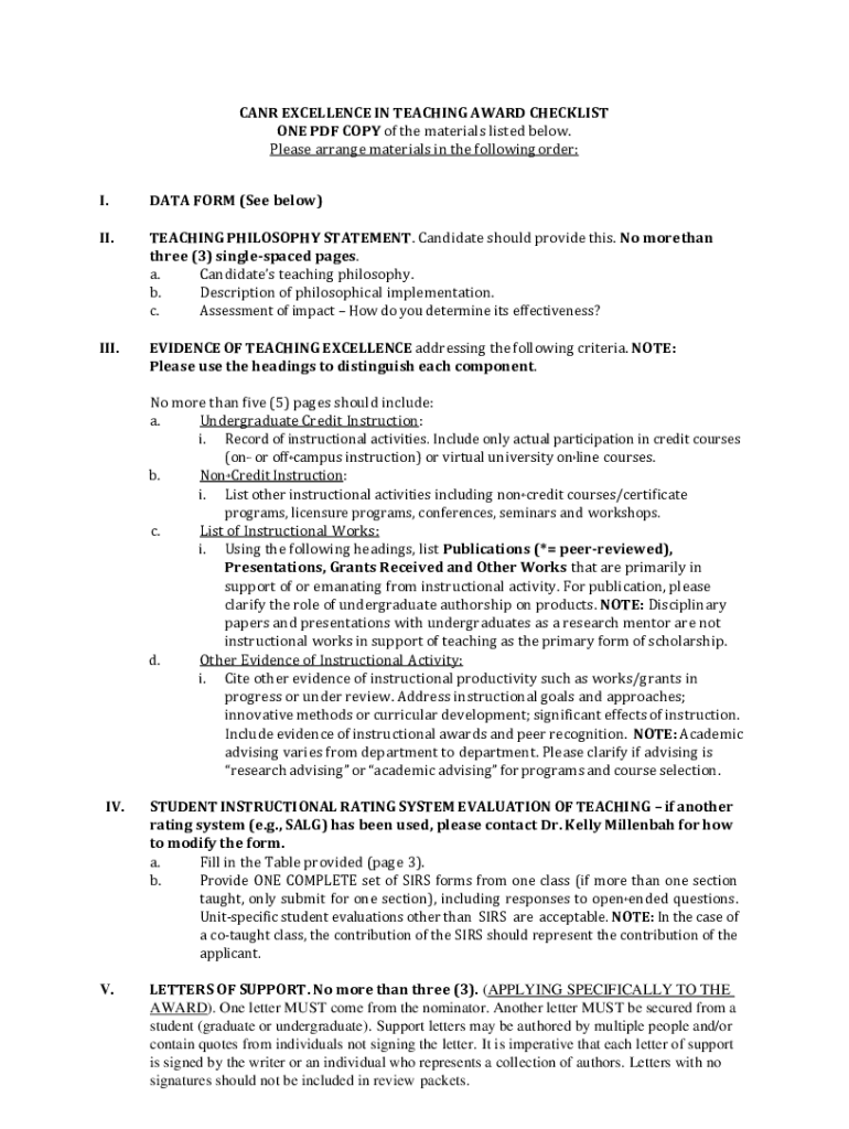
CAN EXCELLENCE IN TEACHING AWARD CHECKLIST ONE PDF COPY of the materials listed below. Please arrange materials in the following order: I.DATA FORM (See below)II.TEACHING PHILOSOPHY STATEMENT. Candidate
We are not affiliated with any brand or entity on this form
Get, Create, Make and Sign nomination forms and instructions
Edit your nomination forms and instructions form online
Type text, complete fillable fields, insert images, highlight or blackout data for discretion, add comments, and more.
Add your legally-binding signature
Draw or type your signature, upload a signature image, or capture it with your digital camera.
Share your form instantly
Email, fax, or share your nomination forms and instructions form via URL. You can also download, print, or export forms to your preferred cloud storage service.
Editing nomination forms and instructions online
Here are the steps you need to follow to get started with our professional PDF editor:
1
Log in to your account. Click on Start Free Trial and sign up a profile if you don't have one yet.
2
Prepare a file. Use the Add New button. Then upload your file to the system from your device, importing it from internal mail, the cloud, or by adding its URL.
3
Edit nomination forms and instructions. Add and replace text, insert new objects, rearrange pages, add watermarks and page numbers, and more. Click Done when you are finished editing and go to the Documents tab to merge, split, lock or unlock the file.
4
Get your file. When you find your file in the docs list, click on its name and choose how you want to save it. To get the PDF, you can save it, send an email with it, or move it to the cloud.
pdfFiller makes working with documents easier than you could ever imagine. Register for an account and see for yourself!
Uncompromising security for your PDF editing and eSignature needs
Your private information is safe with pdfFiller. We employ end-to-end encryption, secure cloud storage, and advanced access control to protect your documents and maintain regulatory compliance.
How to fill out nomination forms and instructions
How to fill out nomination forms and instructions
01
To fill out nomination forms and instructions, follow these steps:
02
Start by downloading the nomination forms and instructions from the official website.
03
Read through the instructions carefully to understand the requirements and guidelines for filling out the forms.
04
Gather all the necessary information and documents required for the nomination.
05
Begin filling out the nomination forms by providing accurate and complete details.
06
Pay attention to any specific formatting or documentation requirements specified in the instructions.
07
Double-check all the information filled in the forms to ensure accuracy and completeness.
08
Once the forms are filled out, review them again to ensure all the necessary sections are completed.
09
Attach any supporting documents as requested in the instructions.
10
If required, obtain any necessary signatures or approvals on the forms.
11
Make copies of the completed forms and supporting documents for your records.
12
Submit the filled-out nomination forms along with the necessary documents as per the submission instructions provided.
13
Keep a record of the date and method of submission for future reference.
14
Follow up with the relevant authorities to ensure the nomination forms have been received and processed.
15
Adhere to any additional instructions or requirements communicated by the official authorities throughout the process.
16
By following these steps, you can successfully fill out nomination forms and complete the associated instructions.
Who needs nomination forms and instructions?
01
Nomination forms and instructions are needed by individuals or organizations who are applying or nominating someone for a particular program, award, position, or recognition.
02
These forms and instructions provide guidance on how to accurately and appropriately submit the nomination and ensure that all necessary information and documentation is included.
03
Various entities such as educational institutions, government agencies, non-profit organizations, and professional associations may require nomination forms and instructions for different purposes.
04
By following the provided instructions and properly filling out the forms, applicants can increase their chances of a successful nomination.
Fill
form
: Try Risk Free
For pdfFiller’s FAQs
Below is a list of the most common customer questions. If you can’t find an answer to your question, please don’t hesitate to reach out to us.
How do I make edits in nomination forms and instructions without leaving Chrome?
Get and add pdfFiller Google Chrome Extension to your browser to edit, fill out and eSign your nomination forms and instructions, which you can open in the editor directly from a Google search page in just one click. Execute your fillable documents from any internet-connected device without leaving Chrome.
How do I edit nomination forms and instructions straight from my smartphone?
You can easily do so with pdfFiller's apps for iOS and Android devices, which can be found at the Apple Store and the Google Play Store, respectively. You can use them to fill out PDFs. We have a website where you can get the app, but you can also get it there. When you install the app, log in, and start editing nomination forms and instructions, you can start right away.
How do I fill out nomination forms and instructions using my mobile device?
Use the pdfFiller mobile app to fill out and sign nomination forms and instructions on your phone or tablet. Visit our website to learn more about our mobile apps, how they work, and how to get started.
What is nomination forms and instructions?
Nomination forms and instructions are official documents used to nominate candidates for various positions in an election, providing guidelines on how to properly complete and submit the forms.
Who is required to file nomination forms and instructions?
Individuals intending to run for election, including candidates for public office and political parties that are seeking to nominate candidates, are required to file nomination forms and instructions.
How to fill out nomination forms and instructions?
To fill out nomination forms and instructions, candidates must follow the specified guidelines, provide accurate personal information, gather signatures if required, and ensure all sections are completed as directed.
What is the purpose of nomination forms and instructions?
The purpose of nomination forms and instructions is to ensure a transparent and organized process for candidate nominations, allowing electoral authorities to verify eligibility and manage the election process effectively.
What information must be reported on nomination forms and instructions?
Nomination forms and instructions typically require information such as the candidate's name, address, the office they are seeking, signatures of supporters (if applicable), and any required financial disclosures.
Fill out your nomination forms and instructions online with pdfFiller!
pdfFiller is an end-to-end solution for managing, creating, and editing documents and forms in the cloud. Save time and hassle by preparing your tax forms online.
Nomination Forms And Instructions is not the form you're looking for?Search for another form here.
Relevant keywords
Related Forms
If you believe that this page should be taken down, please follow our DMCA take down process
here
.
This form may include fields for payment information. Data entered in these fields is not covered by PCI DSS compliance.