Get the free Vulnerable Persons Registry Form
Show details
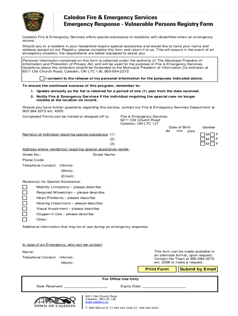
Caledon Fire & Emergency Services offers special assistance to residents with disabilities when an emergency occurs. Should you or a resident in your household require special assistance and would
We are not affiliated with any brand or entity on this form
Get, Create, Make and Sign vulnerable persons registry form
Edit your vulnerable persons registry form form online
Type text, complete fillable fields, insert images, highlight or blackout data for discretion, add comments, and more.
Add your legally-binding signature
Draw or type your signature, upload a signature image, or capture it with your digital camera.
Share your form instantly
Email, fax, or share your vulnerable persons registry form form via URL. You can also download, print, or export forms to your preferred cloud storage service.
Editing vulnerable persons registry form online
Follow the guidelines below to use a professional PDF editor:
1
Log in to your account. Click Start Free Trial and sign up a profile if you don't have one.
2
Prepare a file. Use the Add New button. Then upload your file to the system from your device, importing it from internal mail, the cloud, or by adding its URL.
3
Edit vulnerable persons registry form. Add and change text, add new objects, move pages, add watermarks and page numbers, and more. Then click Done when you're done editing and go to the Documents tab to merge or split the file. If you want to lock or unlock the file, click the lock or unlock button.
4
Save your file. Select it from your list of records. Then, move your cursor to the right toolbar and choose one of the exporting options. You can save it in multiple formats, download it as a PDF, send it by email, or store it in the cloud, among other things.
pdfFiller makes dealing with documents a breeze. Create an account to find out!
Uncompromising security for your PDF editing and eSignature needs
Your private information is safe with pdfFiller. We employ end-to-end encryption, secure cloud storage, and advanced access control to protect your documents and maintain regulatory compliance.
How to fill out vulnerable persons registry form
How to fill out vulnerable persons registry form
01
To fill out the vulnerable persons registry form, follow these steps:
02
Obtain the vulnerable persons registry form from the appropriate authority or agency.
03
Read the instructions carefully to understand the information required.
04
Provide personal details of the vulnerable person, such as their full name, date of birth, and contact information.
05
Include information about any medical conditions or disabilities the person may have.
06
Indicate any specific needs or assistance required by the vulnerable person.
07
If applicable, provide emergency contact information for a close relative or caregiver.
08
Review the completed form to ensure accuracy and completeness.
09
Sign and date the form.
10
Submit the form to the designated authority or agency as instructed.
11
Keep a copy of the filled-out form for your records.
Who needs vulnerable persons registry form?
01
The vulnerable persons registry form is required for individuals who may be deemed vulnerable and in need of special assistance or protection. This can include but is not limited to:
02
- Senior citizens who require extra support due to age-related limitations
03
- Individuals with physical or mental disabilities
04
- People with chronic medical conditions
05
- Those in need of special medical attention or medications
06
- Individuals at risk during emergencies or natural disasters
07
- Persons who may require assistance with daily activities or have specific care needs
08
Ultimately, the specific criteria for who needs the vulnerable persons registry form may vary depending on the jurisdiction and the organization responsible for managing the registry.
Fill
form
: Try Risk Free
For pdfFiller’s FAQs
Below is a list of the most common customer questions. If you can’t find an answer to your question, please don’t hesitate to reach out to us.
How do I edit vulnerable persons registry form online?
pdfFiller not only allows you to edit the content of your files but fully rearrange them by changing the number and sequence of pages. Upload your vulnerable persons registry form to the editor and make any required adjustments in a couple of clicks. The editor enables you to blackout, type, and erase text in PDFs, add images, sticky notes and text boxes, and much more.
How can I edit vulnerable persons registry form on a smartphone?
The easiest way to edit documents on a mobile device is using pdfFiller’s mobile-native apps for iOS and Android. You can download those from the Apple Store and Google Play, respectively. You can learn more about the apps here. Install and log in to the application to start editing vulnerable persons registry form.
How do I complete vulnerable persons registry form on an iOS device?
Get and install the pdfFiller application for iOS. Next, open the app and log in or create an account to get access to all of the solution’s editing features. To open your vulnerable persons registry form, upload it from your device or cloud storage, or enter the document URL. After you complete all of the required fields within the document and eSign it (if that is needed), you can save it or share it with others.
What is vulnerable persons registry form?
The vulnerable persons registry form is a document used to register individuals who are considered vulnerable due to age or disability.
Who is required to file vulnerable persons registry form?
Caregivers, family members, or legal guardians of vulnerable persons are required to file the registry form.
How to fill out vulnerable persons registry form?
The form can be filled out online or in person by providing information about the vulnerable person's personal details, medical history, and emergency contacts.
What is the purpose of vulnerable persons registry form?
The purpose of the form is to ensure that vulnerable persons receive proper care and support in case of emergencies or disasters.
What information must be reported on vulnerable persons registry form?
Information such as the vulnerable person's name, date of birth, medical conditions, medications, and special needs must be reported on the form.
Fill out your vulnerable persons registry form online with pdfFiller!
pdfFiller is an end-to-end solution for managing, creating, and editing documents and forms in the cloud. Save time and hassle by preparing your tax forms online.
Vulnerable Persons Registry Form is not the form you're looking for?Search for another form here.
Relevant keywords
Related Forms
If you believe that this page should be taken down, please follow our DMCA take down process
here
.
This form may include fields for payment information. Data entered in these fields is not covered by PCI DSS compliance.