Get the free SSICLIMS01013REPLACEMENTMEDSUP102219. Accessible PDF
Show details
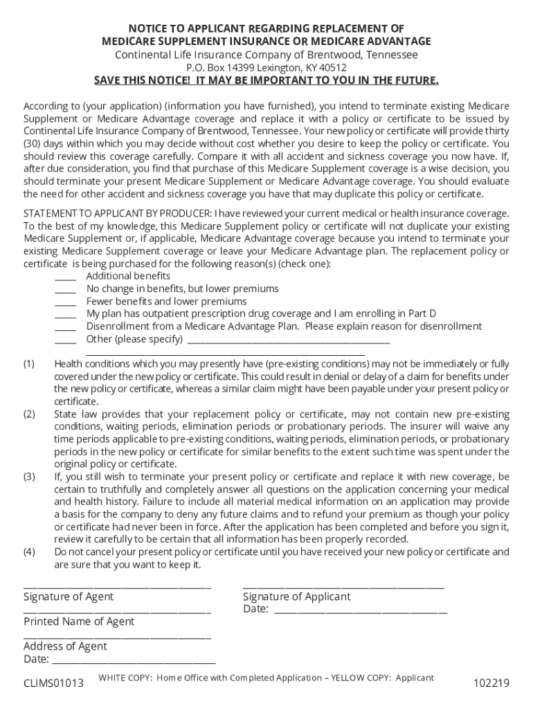
NOTICE TO APPLICANT REGARDING REPLACEMENT OF
MEDICARE SUPPLEMENT INSURANCE OR MEDICARE ADVANTAGE
Continental Life Insurance Company of Brentwood, Tennessee
P.O. Box 14399 Lexington, KY 40512SAVE THIS
We are not affiliated with any brand or entity on this form
Get, Create, Make and Sign ssiclims01013replacementmedsup102219 accessible pdf
Edit your ssiclims01013replacementmedsup102219 accessible pdf form online
Type text, complete fillable fields, insert images, highlight or blackout data for discretion, add comments, and more.
Add your legally-binding signature
Draw or type your signature, upload a signature image, or capture it with your digital camera.
Share your form instantly
Email, fax, or share your ssiclims01013replacementmedsup102219 accessible pdf form via URL. You can also download, print, or export forms to your preferred cloud storage service.
How to edit ssiclims01013replacementmedsup102219 accessible pdf online
Follow the guidelines below to benefit from the PDF editor's expertise:
1
Log in to your account. Start Free Trial and sign up a profile if you don't have one yet.
2
Prepare a file. Use the Add New button to start a new project. Then, using your device, upload your file to the system by importing it from internal mail, the cloud, or adding its URL.
3
Edit ssiclims01013replacementmedsup102219 accessible pdf. Rearrange and rotate pages, insert new and alter existing texts, add new objects, and take advantage of other helpful tools. Click Done to apply changes and return to your Dashboard. Go to the Documents tab to access merging, splitting, locking, or unlocking functions.
4
Save your file. Select it from your records list. Then, click the right toolbar and select one of the various exporting options: save in numerous formats, download as PDF, email, or cloud.
pdfFiller makes working with documents easier than you could ever imagine. Create an account to find out for yourself how it works!
Uncompromising security for your PDF editing and eSignature needs
Your private information is safe with pdfFiller. We employ end-to-end encryption, secure cloud storage, and advanced access control to protect your documents and maintain regulatory compliance.
How to fill out ssiclims01013replacementmedsup102219 accessible pdf
How to fill out ssiclims01013replacementmedsup102219 accessible pdf
01
Open the ssiclims01013replacementmedsup102219 accessible pdf file on your computer.
02
Navigate to the first fillable field in the document.
03
Click on the fillable field to activate it.
04
Type the required information in the fillable field.
05
Continue filling out the remaining fillable fields in the document in a similar manner.
06
Review and double-check all the filled-out information to ensure accuracy.
07
Save the filled-out ssiclims01013replacementmedsup102219 accessible pdf document.
08
Print a copy of the filled-out document if needed.
Who needs ssiclims01013replacementmedsup102219 accessible pdf?
01
Anyone who needs to replace or supplement their medicaid must fill out the ssiclims01013replacementmedsup102219 accessible pdf.
Fill
form
: Try Risk Free
For pdfFiller’s FAQs
Below is a list of the most common customer questions. If you can’t find an answer to your question, please don’t hesitate to reach out to us.
Can I sign the ssiclims01013replacementmedsup102219 accessible pdf electronically in Chrome?
Yes, you can. With pdfFiller, you not only get a feature-rich PDF editor and fillable form builder but a powerful e-signature solution that you can add directly to your Chrome browser. Using our extension, you can create your legally-binding eSignature by typing, drawing, or capturing a photo of your signature using your webcam. Choose whichever method you prefer and eSign your ssiclims01013replacementmedsup102219 accessible pdf in minutes.
Can I create an eSignature for the ssiclims01013replacementmedsup102219 accessible pdf in Gmail?
With pdfFiller's add-on, you may upload, type, or draw a signature in Gmail. You can eSign your ssiclims01013replacementmedsup102219 accessible pdf and other papers directly in your mailbox with pdfFiller. To preserve signed papers and your personal signatures, create an account.
How do I fill out the ssiclims01013replacementmedsup102219 accessible pdf form on my smartphone?
You can quickly make and fill out legal forms with the help of the pdfFiller app on your phone. Complete and sign ssiclims01013replacementmedsup102219 accessible pdf and other documents on your mobile device using the application. If you want to learn more about how the PDF editor works, go to pdfFiller.com.
What is ssiclims01013replacementmedsup102219 accessible pdf?
The ssiclims01013replacementmedsup102219 accessible pdf is a form used for reporting replacement medical supplies.
Who is required to file ssiclims01013replacementmedsup102219 accessible pdf?
Medical supply providers are required to file the ssiclims01013replacementmedsup102219 accessible pdf.
How to fill out ssiclims01013replacementmedsup102219 accessible pdf?
To fill out the ssiclims01013replacementmedsup102219 accessible pdf, you need to provide information about the replacement medical supplies provided.
What is the purpose of ssiclims01013replacementmedsup102219 accessible pdf?
The purpose of the ssiclims01013replacementmedsup102219 accessible pdf is to report replacement medical supplies provided to patients.
What information must be reported on ssiclims01013replacementmedsup102219 accessible pdf?
On the ssiclims01013replacementmedsup102219 accessible pdf, you must report details of the replacement medical supplies provided, including quantity, date, and patient information.
Fill out your ssiclims01013replacementmedsup102219 accessible pdf online with pdfFiller!
pdfFiller is an end-to-end solution for managing, creating, and editing documents and forms in the cloud. Save time and hassle by preparing your tax forms online.
Ssiclims01013Replacementmedsup102219 Accessible Pdf is not the form you're looking for?Search for another form here.
Relevant keywords
Related Forms
If you believe that this page should be taken down, please follow our DMCA take down process
here
.
This form may include fields for payment information. Data entered in these fields is not covered by PCI DSS compliance.