Get the free Consortium AgreementOffice of Student Financial Aid ...
Show details
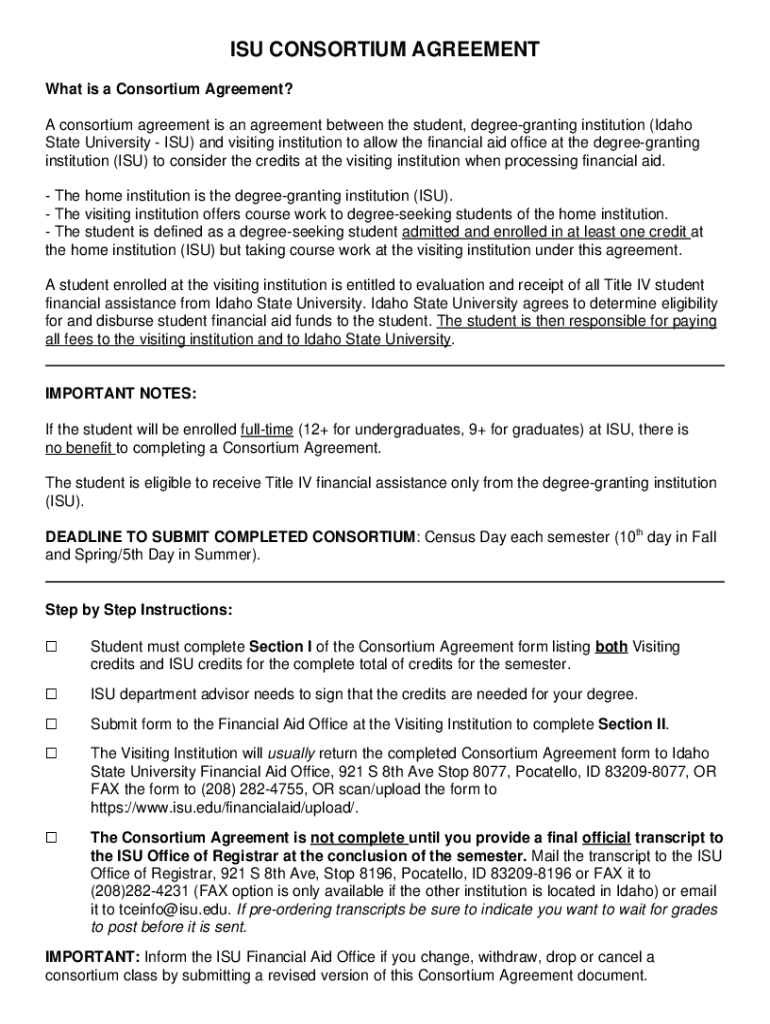
ISU CONSORTIUM AGREEMENT What is a Consortium Agreement? A consortium agreement is an agreement between the student, degree granting institution (Idaho State University ISU) and visiting institution
We are not affiliated with any brand or entity on this form
Get, Create, Make and Sign consortium agreementoffice of student
Edit your consortium agreementoffice of student form online
Type text, complete fillable fields, insert images, highlight or blackout data for discretion, add comments, and more.
Add your legally-binding signature
Draw or type your signature, upload a signature image, or capture it with your digital camera.
Share your form instantly
Email, fax, or share your consortium agreementoffice of student form via URL. You can also download, print, or export forms to your preferred cloud storage service.
How to edit consortium agreementoffice of student online
To use the professional PDF editor, follow these steps below:
1
Register the account. Begin by clicking Start Free Trial and create a profile if you are a new user.
2
Prepare a file. Use the Add New button. Then upload your file to the system from your device, importing it from internal mail, the cloud, or by adding its URL.
3
Edit consortium agreementoffice of student. Rearrange and rotate pages, insert new and alter existing texts, add new objects, and take advantage of other helpful tools. Click Done to apply changes and return to your Dashboard. Go to the Documents tab to access merging, splitting, locking, or unlocking functions.
4
Save your file. Select it from your records list. Then, click the right toolbar and select one of the various exporting options: save in numerous formats, download as PDF, email, or cloud.
pdfFiller makes working with documents easier than you could ever imagine. Register for an account and see for yourself!
Uncompromising security for your PDF editing and eSignature needs
Your private information is safe with pdfFiller. We employ end-to-end encryption, secure cloud storage, and advanced access control to protect your documents and maintain regulatory compliance.
How to fill out consortium agreementoffice of student
How to fill out consortium agreementoffice of student
01
Obtain a copy of the consortium agreement form from the office of student.
02
Fill out the personal information section, including your name, student ID, and contact information.
03
Provide details about the other institution involved in the consortium, such as its name and contact information.
04
Indicate the courses or programs you plan to take at the other institution.
05
Include information about the academic credits that will be transferred back to your home institution.
06
If applicable, provide any additional information required by your home institution or the other institution.
07
Review the completed form for accuracy and completeness.
08
Sign and date the consortium agreement.
09
Submit the filled-out form to the office of student for processing.
Who needs consortium agreementoffice of student?
01
Any student who wishes to take courses or participate in programs at another institution while maintaining enrollment at their home institution needs a consortium agreement from the office of student.
Fill
form
: Try Risk Free
For pdfFiller’s FAQs
Below is a list of the most common customer questions. If you can’t find an answer to your question, please don’t hesitate to reach out to us.
How can I modify consortium agreementoffice of student without leaving Google Drive?
Simplify your document workflows and create fillable forms right in Google Drive by integrating pdfFiller with Google Docs. The integration will allow you to create, modify, and eSign documents, including consortium agreementoffice of student, without leaving Google Drive. Add pdfFiller’s functionalities to Google Drive and manage your paperwork more efficiently on any internet-connected device.
Can I create an eSignature for the consortium agreementoffice of student in Gmail?
You may quickly make your eSignature using pdfFiller and then eSign your consortium agreementoffice of student right from your mailbox using pdfFiller's Gmail add-on. Please keep in mind that in order to preserve your signatures and signed papers, you must first create an account.
How can I edit consortium agreementoffice of student on a smartphone?
The easiest way to edit documents on a mobile device is using pdfFiller’s mobile-native apps for iOS and Android. You can download those from the Apple Store and Google Play, respectively. You can learn more about the apps here. Install and log in to the application to start editing consortium agreementoffice of student.
What is consortium agreementoffice of student?
A consortium agreementoffice of student is a legal document that outlines the terms of cooperation between two or more educational institutions for a specific academic program.
Who is required to file consortium agreementoffice of student?
In most cases, the educational institutions involved in the consortium are required to file the consortium agreementoffice of student.
How to fill out consortium agreementoffice of student?
To fill out a consortium agreementoffice of student, the involved educational institutions must provide information about the program, the responsibilities of each institution, and the terms of cooperation.
What is the purpose of consortium agreementoffice of student?
The purpose of a consortium agreementoffice of student is to ensure that all parties involved in the academic program are aware of their responsibilities and committed to cooperation.
What information must be reported on consortium agreementoffice of student?
The consortium agreementoffice of student must include information about the academic program, the responsibilities of each institution, the financial arrangements, and any other relevant details.
Fill out your consortium agreementoffice of student online with pdfFiller!
pdfFiller is an end-to-end solution for managing, creating, and editing documents and forms in the cloud. Save time and hassle by preparing your tax forms online.
Consortium Agreementoffice Of Student is not the form you're looking for?Search for another form here.
Relevant keywords
Related Forms
If you believe that this page should be taken down, please follow our DMCA take down process
here
.
This form may include fields for payment information. Data entered in these fields is not covered by PCI DSS compliance.