Get the free en.wikipedia.orgwikiColumbiaHighSchool(NewColumbia High School (New Jersey) - Wikipedia
Show details
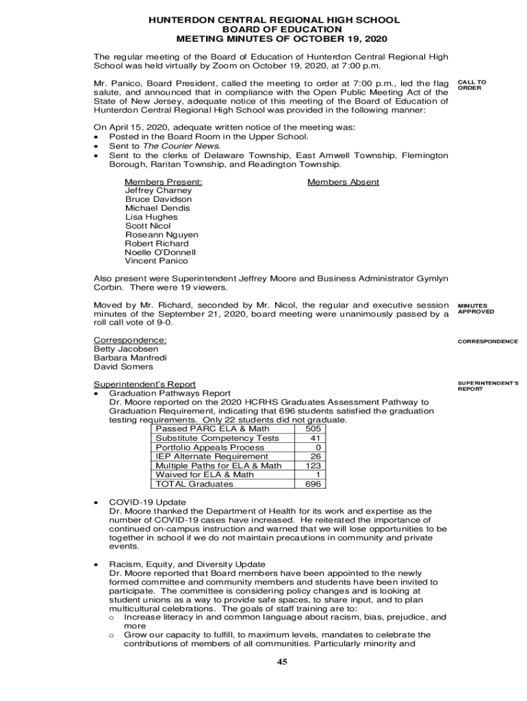
HUNTER DON CENTRAL REGIONAL HIGH SCHOOL BOARD OF EDUCATION MEETING MINUTES OF OCTOBER 19, 2020, The regular meeting of the Board of Education of Hunter don Central Regional High School was held virtually
We are not affiliated with any brand or entity on this form
Get, Create, Make and Sign enwikipediaorgwikicolumbiahighschoolnewcolumbia high school new
Edit your enwikipediaorgwikicolumbiahighschoolnewcolumbia high school new form online
Type text, complete fillable fields, insert images, highlight or blackout data for discretion, add comments, and more.
Add your legally-binding signature
Draw or type your signature, upload a signature image, or capture it with your digital camera.
Share your form instantly
Email, fax, or share your enwikipediaorgwikicolumbiahighschoolnewcolumbia high school new form via URL. You can also download, print, or export forms to your preferred cloud storage service.
How to edit enwikipediaorgwikicolumbiahighschoolnewcolumbia high school new online
In order to make advantage of the professional PDF editor, follow these steps below:
1
Register the account. Begin by clicking Start Free Trial and create a profile if you are a new user.
2
Prepare a file. Use the Add New button. Then upload your file to the system from your device, importing it from internal mail, the cloud, or by adding its URL.
3
Edit enwikipediaorgwikicolumbiahighschoolnewcolumbia high school new. Add and change text, add new objects, move pages, add watermarks and page numbers, and more. Then click Done when you're done editing and go to the Documents tab to merge or split the file. If you want to lock or unlock the file, click the lock or unlock button.
4
Save your file. Select it from your records list. Then, click the right toolbar and select one of the various exporting options: save in numerous formats, download as PDF, email, or cloud.
With pdfFiller, it's always easy to deal with documents. Try it right now
Uncompromising security for your PDF editing and eSignature needs
Your private information is safe with pdfFiller. We employ end-to-end encryption, secure cloud storage, and advanced access control to protect your documents and maintain regulatory compliance.
How to fill out enwikipediaorgwikicolumbiahighschoolnewcolumbia high school new
How to fill out enwikipediaorgwikicolumbiahighschoolnewcolumbia high school new
01
To fill out enwikipediaorgwikicolumbiahighschoolnewcolumbia high school new, follow these steps:
02
Open your web browser and go to en.wikipedia.org
03
In the search bar, type 'columbia high school new' and press Enter.
04
Click on the search result that says 'Columbia High School (New Jersey)'.
05
Once the page loads, scroll down to the 'Contents' section.
06
Click on the section titled 'History'.
07
Read the information provided about the history of Columbia High School (New Jersey).
08
If you need to add any additional information or make edits, click on the 'Edit' button at the top right corner of the page.
09
Make the necessary changes in the editing interface and click on the 'Save changes' button when you're done.
10
You have now successfully filled out enwikipediaorgwikicolumbiahighschoolnewcolumbia high school new!
Who needs enwikipediaorgwikicolumbiahighschoolnewcolumbia high school new?
01
Anyone who is interested in learning about or editing the page for Columbia High School (New Jersey) needs enwikipediaorgwikicolumbiahighschoolnewcolumbia high school new.
Fill
form
: Try Risk Free
For pdfFiller’s FAQs
Below is a list of the most common customer questions. If you can’t find an answer to your question, please don’t hesitate to reach out to us.
How can I manage my enwikipediaorgwikicolumbiahighschoolnewcolumbia high school new directly from Gmail?
You can use pdfFiller’s add-on for Gmail in order to modify, fill out, and eSign your enwikipediaorgwikicolumbiahighschoolnewcolumbia high school new along with other documents right in your inbox. Find pdfFiller for Gmail in Google Workspace Marketplace. Use time you spend on handling your documents and eSignatures for more important things.
Can I create an electronic signature for the enwikipediaorgwikicolumbiahighschoolnewcolumbia high school new in Chrome?
Yes. By adding the solution to your Chrome browser, you can use pdfFiller to eSign documents and enjoy all of the features of the PDF editor in one place. Use the extension to create a legally-binding eSignature by drawing it, typing it, or uploading a picture of your handwritten signature. Whatever you choose, you will be able to eSign your enwikipediaorgwikicolumbiahighschoolnewcolumbia high school new in seconds.
Can I edit enwikipediaorgwikicolumbiahighschoolnewcolumbia high school new on an iOS device?
Yes, you can. With the pdfFiller mobile app, you can instantly edit, share, and sign enwikipediaorgwikicolumbiahighschoolnewcolumbia high school new on your iOS device. Get it at the Apple Store and install it in seconds. The application is free, but you will have to create an account to purchase a subscription or activate a free trial.
What is enwikipediaorgwikicolumbiahighschoolnewcolumbia high school new?
It is a Wikipedia page about Columbia High School in New.
Who is required to file enwikipediaorgwikicolumbiahighschoolnewcolumbia high school new?
Anyone who has information or updates about Columbia High School.
How to fill out enwikipediaorgwikicolumbiahighschoolnewcolumbia high school new?
You can edit the page directly on Wikipedia with the updated information.
What is the purpose of enwikipediaorgwikicolumbiahighschoolnewcolumbia high school new?
The purpose is to provide information and updates about Columbia High School.
What information must be reported on enwikipediaorgwikicolumbiahighschoolnewcolumbia high school new?
Any relevant information about the school such as history, achievements, programs, etc.
Fill out your enwikipediaorgwikicolumbiahighschoolnewcolumbia high school new online with pdfFiller!
pdfFiller is an end-to-end solution for managing, creating, and editing documents and forms in the cloud. Save time and hassle by preparing your tax forms online.
Enwikipediaorgwikicolumbiahighschoolnewcolumbia High School New is not the form you're looking for?Search for another form here.
Relevant keywords
Related Forms
If you believe that this page should be taken down, please follow our DMCA take down process
here
.
This form may include fields for payment information. Data entered in these fields is not covered by PCI DSS compliance.