Get the free CONSENT GRANTING AUTHORITY APPLICATION FOR CONSENT GUIDELINE ...
Show details
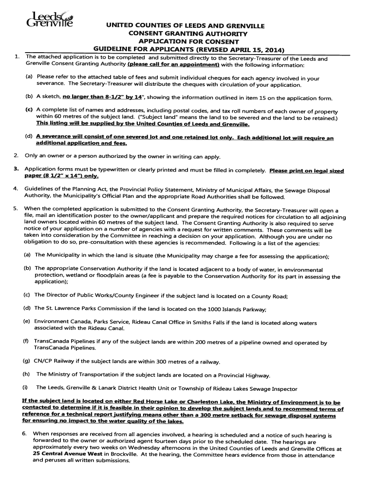
1eedsC (, Renville 1. UNITED COUNTIES OF LEEDS AND GRENVILLE CONSENT GRANTING AUTHORITY APPLICATION FOR CONSENT GUIDELINE FOR APPLICANTS (REVISED APRIL 15, 2014) The attached application is to be
We are not affiliated with any brand or entity on this form
Get, Create, Make and Sign consent granting authority application
Edit your consent granting authority application form online
Type text, complete fillable fields, insert images, highlight or blackout data for discretion, add comments, and more.
Add your legally-binding signature
Draw or type your signature, upload a signature image, or capture it with your digital camera.
Share your form instantly
Email, fax, or share your consent granting authority application form via URL. You can also download, print, or export forms to your preferred cloud storage service.
How to edit consent granting authority application online
Here are the steps you need to follow to get started with our professional PDF editor:
1
Check your account. If you don't have a profile yet, click Start Free Trial and sign up for one.
2
Simply add a document. Select Add New from your Dashboard and import a file into the system by uploading it from your device or importing it via the cloud, online, or internal mail. Then click Begin editing.
3
Edit consent granting authority application. Rearrange and rotate pages, add and edit text, and use additional tools. To save changes and return to your Dashboard, click Done. The Documents tab allows you to merge, divide, lock, or unlock files.
4
Save your file. Select it in the list of your records. Then, move the cursor to the right toolbar and choose one of the available exporting methods: save it in multiple formats, download it as a PDF, send it by email, or store it in the cloud.
pdfFiller makes dealing with documents a breeze. Create an account to find out!
Uncompromising security for your PDF editing and eSignature needs
Your private information is safe with pdfFiller. We employ end-to-end encryption, secure cloud storage, and advanced access control to protect your documents and maintain regulatory compliance.
How to fill out consent granting authority application
How to fill out consent granting authority application?
01
Start by obtaining the consent granting authority application form from the relevant organization or department.
02
Carefully read through the instructions provided on the application form to understand the requirements and any specific documents or information that need to be included.
03
Begin by providing your personal information, such as your full name, contact details, and any identification numbers requested.
04
Next, provide details about the entity or individual to whom you are granting consent. Include their full name, contact information, and the reason for granting them authority.
05
If required, explain the scope or limitations of the authority being granted and make sure to include any relevant dates or durations.
06
Provide any additional information or documentation requested, such as supporting documents or legal agreements.
07
Review your application thoroughly to ensure all information is accurate and complete. It is essential to double-check spelling, dates, and contact details.
08
Sign and date the application form, if required, and follow any submission instructions provided.
Who needs consent granting authority application?
01
Individuals who want to give permission or authority to someone else to act on their behalf typically need to fill out a consent granting authority application.
02
This can include situations where someone needs to authorize another person to access their personal information, represent them in legal matters, or make decisions on their behalf.
03
Examples of individuals who may need to complete a consent granting authority application include patients authorizing a healthcare proxy, business owners empowering an authorized representative, or parents granting consent to a guardian for their child's welfare.
Fill
form
: Try Risk Free
For pdfFiller’s FAQs
Below is a list of the most common customer questions. If you can’t find an answer to your question, please don’t hesitate to reach out to us.
How do I make changes in consent granting authority application?
The editing procedure is simple with pdfFiller. Open your consent granting authority application in the editor, which is quite user-friendly. You may use it to blackout, redact, write, and erase text, add photos, draw arrows and lines, set sticky notes and text boxes, and much more.
Can I edit consent granting authority application on an Android device?
You can edit, sign, and distribute consent granting authority application on your mobile device from anywhere using the pdfFiller mobile app for Android; all you need is an internet connection. Download the app and begin streamlining your document workflow from anywhere.
How do I fill out consent granting authority application on an Android device?
Use the pdfFiller Android app to finish your consent granting authority application and other documents on your Android phone. The app has all the features you need to manage your documents, like editing content, eSigning, annotating, sharing files, and more. At any time, as long as there is an internet connection.
What is consent granting authority application?
The consent granting authority application is a formal request to obtain permission or approval for a specific action or decision.
Who is required to file consent granting authority application?
Any individual or organization seeking consent for a particular activity is required to file a consent granting authority application.
How to fill out consent granting authority application?
The consent granting authority application typically requires providing detailed information about the activity, purpose, and justification for seeking consent.
What is the purpose of consent granting authority application?
The purpose of the consent granting authority application is to formally request and obtain permission or approval for a specific action or decision.
What information must be reported on consent granting authority application?
The information required on a consent granting authority application may vary depending on the specific situation, but typically includes details about the activity, purpose, and justification for seeking consent.
Fill out your consent granting authority application online with pdfFiller!
pdfFiller is an end-to-end solution for managing, creating, and editing documents and forms in the cloud. Save time and hassle by preparing your tax forms online.
Consent Granting Authority Application is not the form you're looking for?Search for another form here.
Relevant keywords
Related Forms
If you believe that this page should be taken down, please follow our DMCA take down process
here
.
This form may include fields for payment information. Data entered in these fields is not covered by PCI DSS compliance.