Get the free Newport High School Counselor Letter of Recommendation ...
Show details
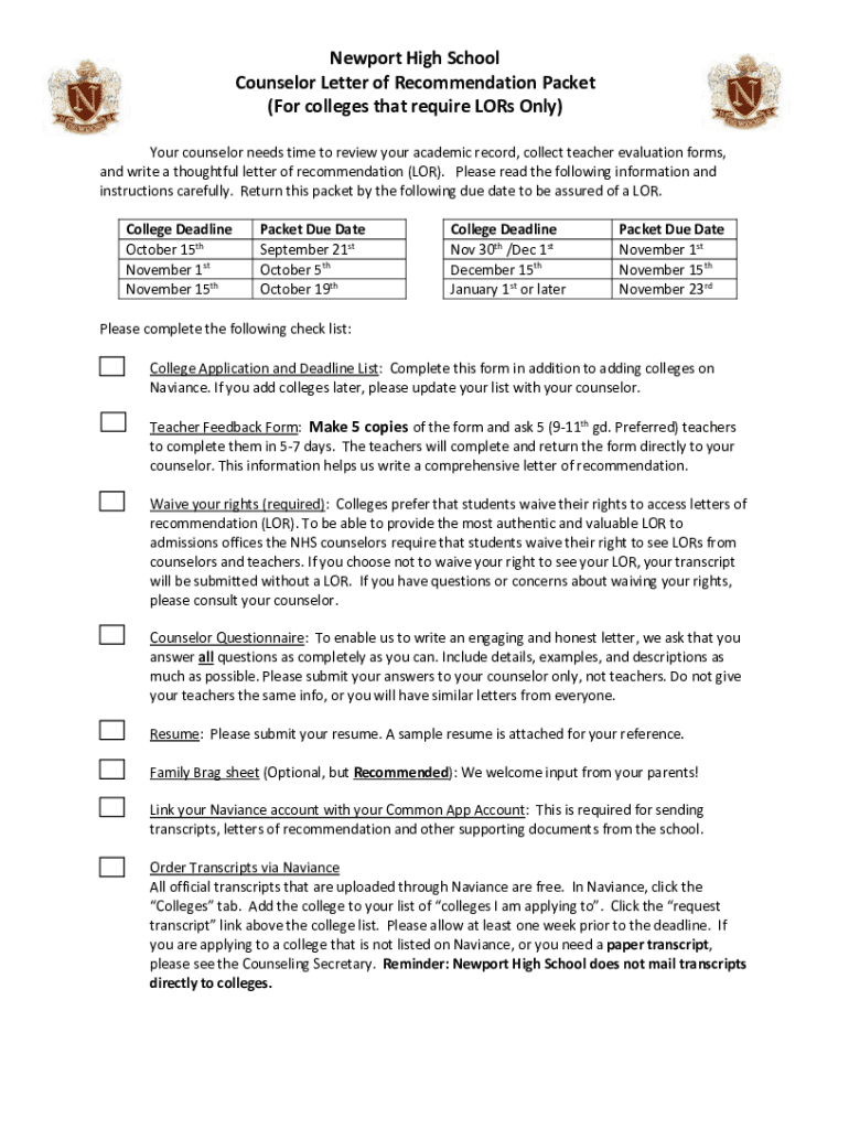
Newport High School Counselor Letter of Recommendation Packet (For colleges that require Loss Only) Your counselor needs time to review your academic record, collect teacher evaluation forms, and
We are not affiliated with any brand or entity on this form
Get, Create, Make and Sign newport high school counselor
Edit your newport high school counselor form online
Type text, complete fillable fields, insert images, highlight or blackout data for discretion, add comments, and more.
Add your legally-binding signature
Draw or type your signature, upload a signature image, or capture it with your digital camera.
Share your form instantly
Email, fax, or share your newport high school counselor form via URL. You can also download, print, or export forms to your preferred cloud storage service.
How to edit newport high school counselor online
To use the services of a skilled PDF editor, follow these steps:
1
Log in to account. Start Free Trial and sign up a profile if you don't have one.
2
Prepare a file. Use the Add New button to start a new project. Then, using your device, upload your file to the system by importing it from internal mail, the cloud, or adding its URL.
3
Edit newport high school counselor. Text may be added and replaced, new objects can be included, pages can be rearranged, watermarks and page numbers can be added, and so on. When you're done editing, click Done and then go to the Documents tab to combine, divide, lock, or unlock the file.
4
Save your file. Select it from your list of records. Then, move your cursor to the right toolbar and choose one of the exporting options. You can save it in multiple formats, download it as a PDF, send it by email, or store it in the cloud, among other things.
pdfFiller makes working with documents easier than you could ever imagine. Create an account to find out for yourself how it works!
Uncompromising security for your PDF editing and eSignature needs
Your private information is safe with pdfFiller. We employ end-to-end encryption, secure cloud storage, and advanced access control to protect your documents and maintain regulatory compliance.
How to fill out newport high school counselor
How to fill out newport high school counselor
01
To fill out Newport High School counselor, follow these steps:
02
Obtain the Newport High School counselor form from the school administration.
03
Fill out the personal details section of the form, including your full name, contact information, and student ID number.
04
In the counseling preferences section, indicate the type of counseling you are seeking, such as academic, career, or personal counseling.
05
Write down any specific concerns or issues you would like to discuss with the counselor in the designated area.
06
If you have any previous counseling history or have undergone any assessments, provide relevant information in the appropriate section.
07
Review the completed form to ensure all the necessary information is filled in and there are no mistakes.
08
Submit the filled-out Newport High School counselor form to the designated office or counselor's mailbox.
09
Wait for the counselor to contact you to schedule a counseling appointment.
Who needs newport high school counselor?
01
Anyone who is a student at Newport High School and requires guidance, support, or assistance in academic, career, or personal matters may benefit from the services of the Newport High School counselor.
Fill
form
: Try Risk Free
For pdfFiller’s FAQs
Below is a list of the most common customer questions. If you can’t find an answer to your question, please don’t hesitate to reach out to us.
How do I make changes in newport high school counselor?
With pdfFiller, the editing process is straightforward. Open your newport high school counselor in the editor, which is highly intuitive and easy to use. There, you’ll be able to blackout, redact, type, and erase text, add images, draw arrows and lines, place sticky notes and text boxes, and much more.
Can I sign the newport high school counselor electronically in Chrome?
As a PDF editor and form builder, pdfFiller has a lot of features. It also has a powerful e-signature tool that you can add to your Chrome browser. With our extension, you can type, draw, or take a picture of your signature with your webcam to make your legally-binding eSignature. Choose how you want to sign your newport high school counselor and you'll be done in minutes.
How can I fill out newport high school counselor on an iOS device?
Install the pdfFiller iOS app. Log in or create an account to access the solution's editing features. Open your newport high school counselor by uploading it from your device or online storage. After filling in all relevant fields and eSigning if required, you may save or distribute the document.
What is newport high school counselor?
Newport High School counselor is a professional who provides academic, personal, and career counseling to students at Newport High School.
Who is required to file newport high school counselor?
The school administration and staff at Newport High School are required to file information about the counselor.
How to fill out newport high school counselor?
To fill out information about the Newport High School counselor, the school administration and staff can use the designated forms or online portals provided by the school district.
What is the purpose of newport high school counselor?
The purpose of the Newport High School counselor is to support students in achieving academic success, personal development, and career readiness.
What information must be reported on newport high school counselor?
Information such as the counselor's name, qualifications, work experience, and responsibilities must be reported on the Newport High School counselor.
Fill out your newport high school counselor online with pdfFiller!
pdfFiller is an end-to-end solution for managing, creating, and editing documents and forms in the cloud. Save time and hassle by preparing your tax forms online.
Newport High School Counselor is not the form you're looking for?Search for another form here.
Relevant keywords
Related Forms
If you believe that this page should be taken down, please follow our DMCA take down process
here
.
This form may include fields for payment information. Data entered in these fields is not covered by PCI DSS compliance.