Get the free PDF general minister and president's greeting - Christian Church ...
Show details
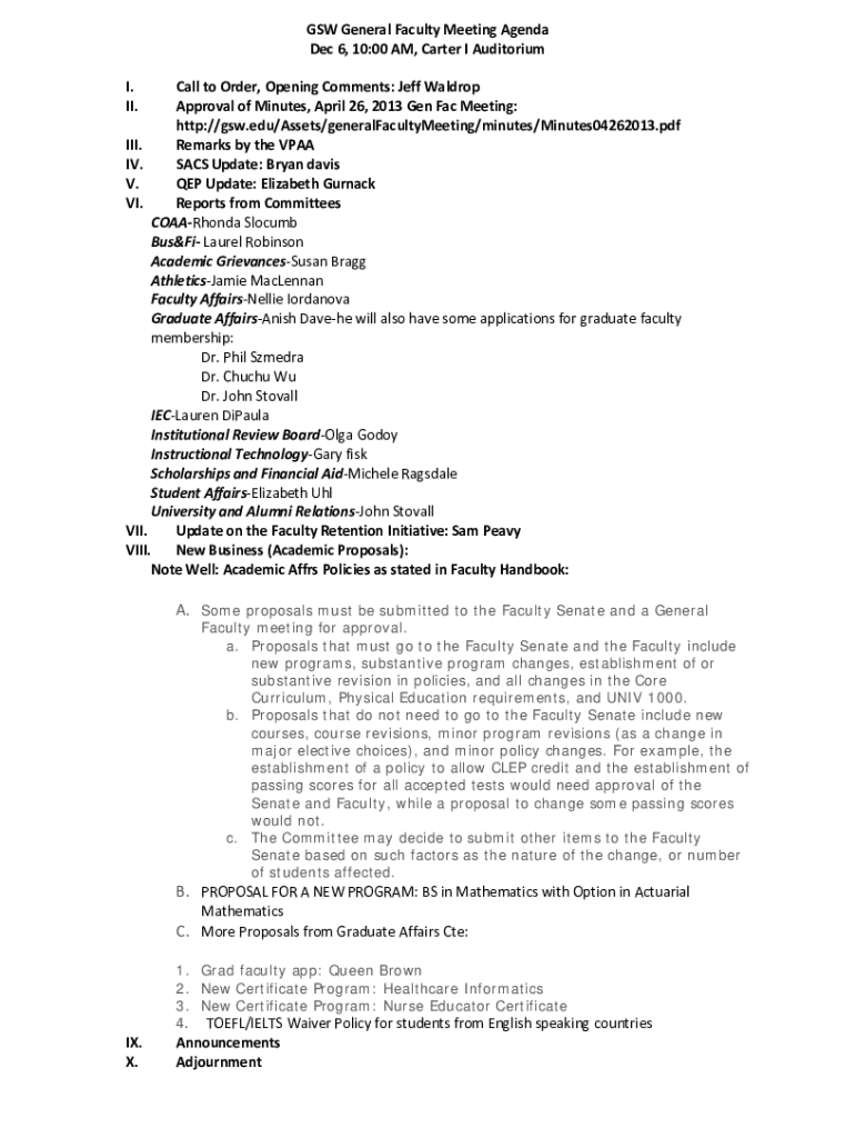
GSW General Faculty Meeting Agenda Dec 6, 10:00 AM, Carter I Auditorium I. II. Call to Order, Opening Comments: Jeff Waldron Approval of Minutes, April 26, 2013, Gen FAC Meeting: HTTP://GSW.edu×Assets×generalFacultyMeeting×minutes×Minutes04262013.pdf
We are not affiliated with any brand or entity on this form
Get, Create, Make and Sign pdf general minister and
Edit your pdf general minister and form online
Type text, complete fillable fields, insert images, highlight or blackout data for discretion, add comments, and more.
Add your legally-binding signature
Draw or type your signature, upload a signature image, or capture it with your digital camera.
Share your form instantly
Email, fax, or share your pdf general minister and form via URL. You can also download, print, or export forms to your preferred cloud storage service.
Editing pdf general minister and online
Follow the steps below to take advantage of the professional PDF editor:
1
Sign into your account. If you don't have a profile yet, click Start Free Trial and sign up for one.
2
Prepare a file. Use the Add New button to start a new project. Then, using your device, upload your file to the system by importing it from internal mail, the cloud, or adding its URL.
3
Edit pdf general minister and. Rearrange and rotate pages, insert new and alter existing texts, add new objects, and take advantage of other helpful tools. Click Done to apply changes and return to your Dashboard. Go to the Documents tab to access merging, splitting, locking, or unlocking functions.
4
Get your file. Select the name of your file in the docs list and choose your preferred exporting method. You can download it as a PDF, save it in another format, send it by email, or transfer it to the cloud.
pdfFiller makes working with documents easier than you could ever imagine. Try it for yourself by creating an account!
Uncompromising security for your PDF editing and eSignature needs
Your private information is safe with pdfFiller. We employ end-to-end encryption, secure cloud storage, and advanced access control to protect your documents and maintain regulatory compliance.
How to fill out pdf general minister and
How to fill out pdf general minister and
01
To fill out a PDF General Minister form, follow these steps:
02
Open the PDF General Minister form using a PDF reader or editor software.
03
Review the instructions or guidelines provided within the form, if any.
04
Locate the fields or sections in the form that require your input.
05
Click on each field or section to activate the text input mode.
06
Enter the necessary information in each field or section as per your requirements.
07
Double-check the filled-out information for accuracy and completeness.
08
Save the filled-out form on your computer or device.
09
Print a hard copy of the filled-out form, if required, for physical submission or record-keeping.
10
Submit the filled-out form as instructed, either electronically or through the appropriate channels.
Who needs pdf general minister and?
01
The PDF General Minister form is needed by individuals or organizations who wish to submit an application, report, or any relevant information related to the general minister position.
02
This could include candidates applying for the position, current ministers providing updates or reports, administrative staff responsible for managing ministerial applications and data, or regulatory bodies overseeing ministerial appointments.
Fill
form
: Try Risk Free
For pdfFiller’s FAQs
Below is a list of the most common customer questions. If you can’t find an answer to your question, please don’t hesitate to reach out to us.
How do I execute pdf general minister and online?
Completing and signing pdf general minister and online is easy with pdfFiller. It enables you to edit original PDF content, highlight, blackout, erase and type text anywhere on a page, legally eSign your form, and much more. Create your free account and manage professional documents on the web.
How do I edit pdf general minister and in Chrome?
Install the pdfFiller Chrome Extension to modify, fill out, and eSign your pdf general minister and, which you can access right from a Google search page. Fillable documents without leaving Chrome on any internet-connected device.
Can I edit pdf general minister and on an iOS device?
Use the pdfFiller app for iOS to make, edit, and share pdf general minister and from your phone. Apple's store will have it up and running in no time. It's possible to get a free trial and choose a subscription plan that fits your needs.
What is pdf general minister and?
The PDF General Minister refers to a type of form or document used by ministers to report and manage certain aspects of their ministry activities.
Who is required to file pdf general minister and?
Typically, ministers or individuals in similar positions within organizations or churches are required to file the PDF General Minister.
How to fill out pdf general minister and?
To fill out the PDF General Minister, one should download the form, provide the required personal and ministry information, and submit it according to the specified guidelines.
What is the purpose of pdf general minister and?
The purpose of the PDF General Minister is to standardize the reporting process for ministers, ensuring transparency and compliance within their operations.
What information must be reported on pdf general minister and?
Information typically required includes personal identification details, ministry activities, financial reports, and any other relevant data that reflects the minister's work.
Fill out your pdf general minister and online with pdfFiller!
pdfFiller is an end-to-end solution for managing, creating, and editing documents and forms in the cloud. Save time and hassle by preparing your tax forms online.
Pdf General Minister And is not the form you're looking for?Search for another form here.
Relevant keywords
Related Forms
If you believe that this page should be taken down, please follow our DMCA take down process
here
.
This form may include fields for payment information. Data entered in these fields is not covered by PCI DSS compliance.