Get the free CALLING ALL YOUNG PERFORMERS TO THE - DuPage County Fair - dupagecountyfair wsiefusion
Show details
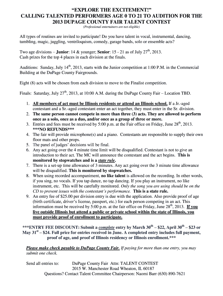
EXPLORE THE EXCITEMENT! CALLING TALENTED PERFORMERS AGE 0 TO 21 TO AUDITION FOR THE 2013 DUPAGE COUNTY FAIR TALENT CONTEST (Professional entertainers are not eligible) All types of routines are invited
We are not affiliated with any brand or entity on this form
Get, Create, Make and Sign calling all young performers
Edit your calling all young performers form online
Type text, complete fillable fields, insert images, highlight or blackout data for discretion, add comments, and more.
Add your legally-binding signature
Draw or type your signature, upload a signature image, or capture it with your digital camera.
Share your form instantly
Email, fax, or share your calling all young performers form via URL. You can also download, print, or export forms to your preferred cloud storage service.
How to edit calling all young performers online
Use the instructions below to start using our professional PDF editor:
1
Log in. Click Start Free Trial and create a profile if necessary.
2
Prepare a file. Use the Add New button. Then upload your file to the system from your device, importing it from internal mail, the cloud, or by adding its URL.
3
Edit calling all young performers. Add and replace text, insert new objects, rearrange pages, add watermarks and page numbers, and more. Click Done when you are finished editing and go to the Documents tab to merge, split, lock or unlock the file.
4
Save your file. Select it from your records list. Then, click the right toolbar and select one of the various exporting options: save in numerous formats, download as PDF, email, or cloud.
With pdfFiller, it's always easy to work with documents.
Uncompromising security for your PDF editing and eSignature needs
Your private information is safe with pdfFiller. We employ end-to-end encryption, secure cloud storage, and advanced access control to protect your documents and maintain regulatory compliance.
How to fill out calling all young performers
How to fill out calling all young performers?
01
Read the instructions carefully and make sure you understand the requirements.
02
Provide all the necessary personal information, such as name, age, and contact details.
03
Write a brief introduction about yourself, including your interests and skills in performing arts.
04
List any previous performances or experiences you have had, including relevant training or education.
05
Explain why you are interested in participating in calling all young performers and what you hope to gain from the opportunity.
06
Double-check your application for any spelling or grammar errors before submitting it.
Who needs calling all young performers?
01
Individuals who are passionate about and skilled in performing arts, such as singing, dancing, acting, or playing musical instruments.
02
Young performers who are looking for opportunities to showcase their talents and gain recognition.
03
Those who are seeking a platform to connect with other young performers and learn from industry professionals.
04
Individuals who are interested in pursuing a career or further education in the performing arts field.
05
Young performers who want to challenge themselves and be part of a supportive and creative community.
Fill
form
: Try Risk Free
For pdfFiller’s FAQs
Below is a list of the most common customer questions. If you can’t find an answer to your question, please don’t hesitate to reach out to us.
How do I make edits in calling all young performers without leaving Chrome?
Add pdfFiller Google Chrome Extension to your web browser to start editing calling all young performers and other documents directly from a Google search page. The service allows you to make changes in your documents when viewing them in Chrome. Create fillable documents and edit existing PDFs from any internet-connected device with pdfFiller.
Can I sign the calling all young performers electronically in Chrome?
You certainly can. You get not just a feature-rich PDF editor and fillable form builder with pdfFiller, but also a robust e-signature solution that you can add right to your Chrome browser. You may use our addon to produce a legally enforceable eSignature by typing, sketching, or photographing your signature with your webcam. Choose your preferred method and eSign your calling all young performers in minutes.
Can I edit calling all young performers on an Android device?
You can edit, sign, and distribute calling all young performers on your mobile device from anywhere using the pdfFiller mobile app for Android; all you need is an internet connection. Download the app and begin streamlining your document workflow from anywhere.
What is calling all young performers?
Calling all young performers is a program aiming to showcase the talents of young individuals in various fields such as music, dance, acting, etc.
Who is required to file calling all young performers?
Parents or legal guardians of young performers are required to file for calling all young performers.
How to fill out calling all young performers?
To fill out calling all young performers, parents or legal guardians need to provide information about the young performer's name, age, talent, contact information, and consent to participate.
What is the purpose of calling all young performers?
The purpose of calling all young performers is to provide a platform for young talents to showcase their skills and potentially gain recognition or opportunities in their respective fields.
What information must be reported on calling all young performers?
The information that must be reported on calling all young performers includes the young performer's name, age, talent, contact information, and consent to participate in the program.
Fill out your calling all young performers online with pdfFiller!
pdfFiller is an end-to-end solution for managing, creating, and editing documents and forms in the cloud. Save time and hassle by preparing your tax forms online.
Calling All Young Performers is not the form you're looking for?Search for another form here.
Relevant keywords
Related Forms
If you believe that this page should be taken down, please follow our DMCA take down process
here
.
This form may include fields for payment information. Data entered in these fields is not covered by PCI DSS compliance.