Get the free UTM.edu - The University of Tennessee at Martin
Show details
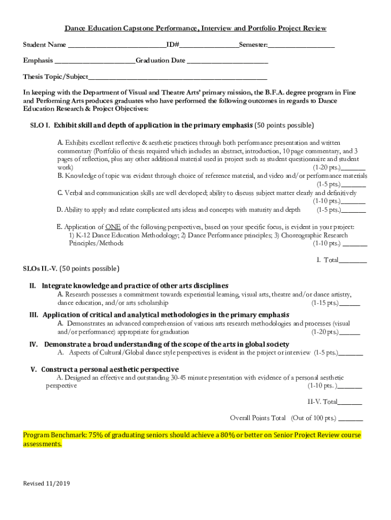
Dance Education Capstone Performance, Interview and Portfolio Project Review Student Name ___ID#___Semester:___ Emphasis ___Graduation Date ___ Thesis Topic×Subject___ In keeping with the Department
We are not affiliated with any brand or entity on this form
Get, Create, Make and Sign utmedu - form university
Edit your utmedu - form university form online
Type text, complete fillable fields, insert images, highlight or blackout data for discretion, add comments, and more.
Add your legally-binding signature
Draw or type your signature, upload a signature image, or capture it with your digital camera.
Share your form instantly
Email, fax, or share your utmedu - form university form via URL. You can also download, print, or export forms to your preferred cloud storage service.
How to edit utmedu - form university online
Follow the guidelines below to take advantage of the professional PDF editor:
1
Log in to account. Start Free Trial and sign up a profile if you don't have one yet.
2
Prepare a file. Use the Add New button to start a new project. Then, using your device, upload your file to the system by importing it from internal mail, the cloud, or adding its URL.
3
Edit utmedu - form university. Add and replace text, insert new objects, rearrange pages, add watermarks and page numbers, and more. Click Done when you are finished editing and go to the Documents tab to merge, split, lock or unlock the file.
4
Get your file. When you find your file in the docs list, click on its name and choose how you want to save it. To get the PDF, you can save it, send an email with it, or move it to the cloud.
Dealing with documents is always simple with pdfFiller. Try it right now
Uncompromising security for your PDF editing and eSignature needs
Your private information is safe with pdfFiller. We employ end-to-end encryption, secure cloud storage, and advanced access control to protect your documents and maintain regulatory compliance.
How to fill out utmedu - form university
How to fill out utmedu - form university
01
Go to the official website of the university.
02
Navigate to the admissions section.
03
Look for the UTMedu form and click on it.
04
Fill in your personal information, such as name, date of birth, and contact details.
05
Enter your educational background, including previous degrees or qualifications.
06
Provide any relevant work experience or extracurricular activities.
07
Complete the essay or personal statement section, if required.
08
Submit any required documents, such as transcripts or letters of recommendation.
09
Review the form for any mistakes or missing information.
10
Once you are satisfied, click on the submit button to send your application.
Who needs utmedu - form university?
01
Anyone who wishes to apply to UTMedu university needs to fill out the UTMedu form. This includes prospective undergraduate and graduate students, both domestic and international.
Fill
form
: Try Risk Free
For pdfFiller’s FAQs
Below is a list of the most common customer questions. If you can’t find an answer to your question, please don’t hesitate to reach out to us.
How can I send utmedu - form university to be eSigned by others?
To distribute your utmedu - form university, simply send it to others and receive the eSigned document back instantly. Post or email a PDF that you've notarized online. Doing so requires never leaving your account.
How do I make edits in utmedu - form university without leaving Chrome?
utmedu - form university can be edited, filled out, and signed with the pdfFiller Google Chrome Extension. You can open the editor right from a Google search page with just one click. Fillable documents can be done on any web-connected device without leaving Chrome.
Can I create an eSignature for the utmedu - form university in Gmail?
Create your eSignature using pdfFiller and then eSign your utmedu - form university immediately from your email with pdfFiller's Gmail add-on. To keep your signatures and signed papers, you must create an account.
What is utmedu - form university?
utmedu - form university is a form that universities use to report information to the authorities.
Who is required to file utmedu - form university?
All universities are required to file utmedu - form university.
How to fill out utmedu - form university?
utmedu - form university can be filled out online on the designated website provided by the authorities.
What is the purpose of utmedu - form university?
The purpose of utmedu - form university is to collect data and information from universities for regulatory and statistical purposes.
What information must be reported on utmedu - form university?
Information such as enrollment numbers, class sizes, course offerings, and financial data must be reported on utmedu - form university.
Fill out your utmedu - form university online with pdfFiller!
pdfFiller is an end-to-end solution for managing, creating, and editing documents and forms in the cloud. Save time and hassle by preparing your tax forms online.
Utmedu - Form University is not the form you're looking for?Search for another form here.
Relevant keywords
Related Forms
If you believe that this page should be taken down, please follow our DMCA take down process
here
.
This form may include fields for payment information. Data entered in these fields is not covered by PCI DSS compliance.