
Get the free www.irs.govpubirs-prior2007 Form 990, 990-EZ, or 990-PF (Schedule B) - IRS tax forms
Show details
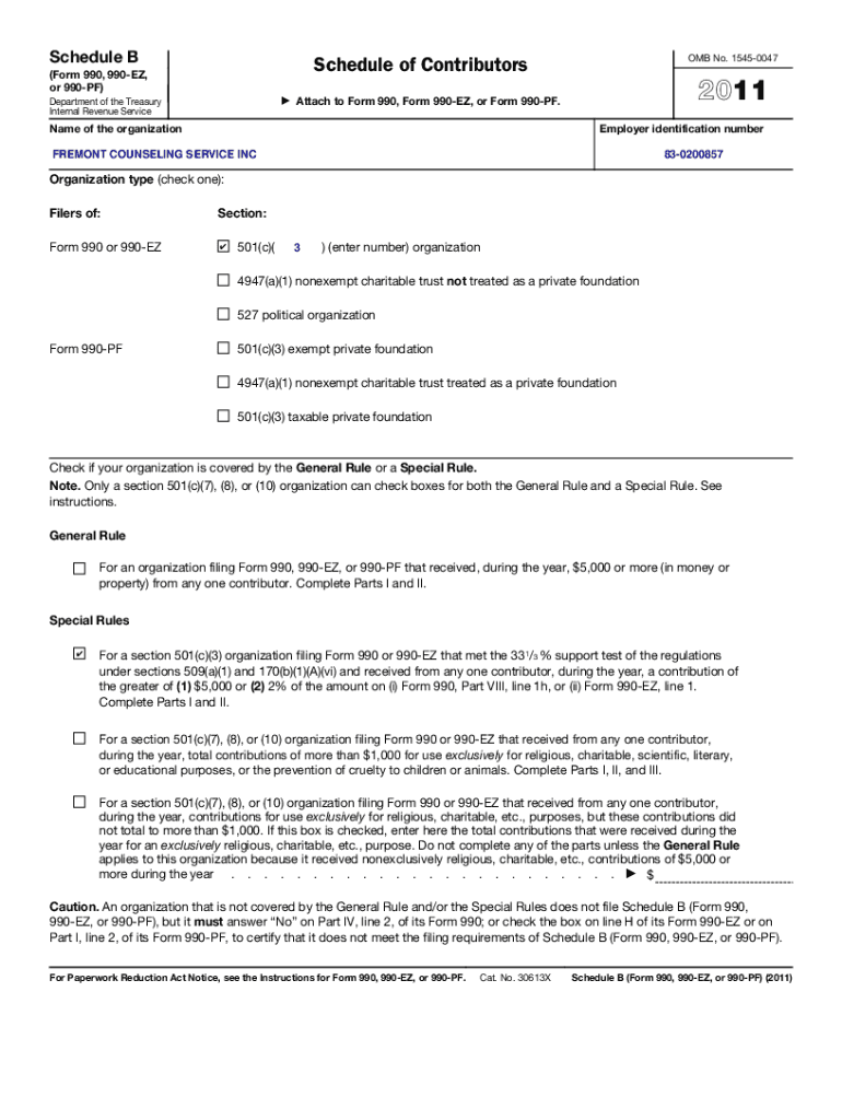
Schedule BOMB No. 15450047Schedule of Contributors×Form 990, 990EZ, or 990PF) Department of the Treasury Internal Revenue Service2011Attach to Form 990, Form 990EZ, or Form 990PF. Name of the organizationEmployer
We are not affiliated with any brand or entity on this form
Get, Create, Make and Sign wwwirsgovpubirs-prior2007 form 990 990-ez

Edit your wwwirsgovpubirs-prior2007 form 990 990-ez form online
Type text, complete fillable fields, insert images, highlight or blackout data for discretion, add comments, and more.

Add your legally-binding signature
Draw or type your signature, upload a signature image, or capture it with your digital camera.

Share your form instantly
Email, fax, or share your wwwirsgovpubirs-prior2007 form 990 990-ez form via URL. You can also download, print, or export forms to your preferred cloud storage service.
Editing wwwirsgovpubirs-prior2007 form 990 990-ez online
Here are the steps you need to follow to get started with our professional PDF editor:
1
Log in to account. Click Start Free Trial and sign up a profile if you don't have one yet.
2
Upload a document. Select Add New on your Dashboard and transfer a file into the system in one of the following ways: by uploading it from your device or importing from the cloud, web, or internal mail. Then, click Start editing.
3
Edit wwwirsgovpubirs-prior2007 form 990 990-ez. Replace text, adding objects, rearranging pages, and more. Then select the Documents tab to combine, divide, lock or unlock the file.
4
Get your file. When you find your file in the docs list, click on its name and choose how you want to save it. To get the PDF, you can save it, send an email with it, or move it to the cloud.
Uncompromising security for your PDF editing and eSignature needs
Your private information is safe with pdfFiller. We employ end-to-end encryption, secure cloud storage, and advanced access control to protect your documents and maintain regulatory compliance.
How to fill out wwwirsgovpubirs-prior2007 form 990 990-ez

How to fill out wwwirsgovpubirs-prior2007 form 990 990-ez
01
To fill out the www.irsgov.pub.irs-prior2007 Form 990 or Form 990-EZ, follow these steps:
02
Gather all the necessary financial information related to your organization, including income, expenses, assets, and liabilities.
03
Review the form's instructions and understand the different sections.
04
Start filling out the basic information section with details about your organization, such as its name, address, and EIN (Employer Identification Number).
05
Complete the Part I section, which includes details about your organization's activities, mission, and financial data.
06
Proceed to the Part II section and provide information on your organization's revenue and expenses.
07
If applicable, complete the Part III section, which includes information about your organization's program-related investments.
08
Continue with the Part IV section and provide details about your organization's balance sheet.
09
Complete any other relevant sections and schedules as instructed.
10
Review the completed form for accuracy and ensure all required information is provided.
11
Sign and date the form.
12
Keep a copy of the filled-out form for your records.
13
Submit the form to the appropriate IRS address as specified in the instructions.
14
Note: The exact steps and sections may vary depending on whether you are filing Form 990 or Form 990-EZ. It is important to carefully read and follow the instructions specific to the form you are filling out.
Who needs wwwirsgovpubirs-prior2007 form 990 990-ez?
01
Various types of organizations may need to file the www.irsgov.pub.irs-prior2007 Form 990 or Form 990-EZ. These forms are typically required for tax-exempt organizations, including but not limited to:
02
- Charitable organizations
03
- Religious organizations
04
- Social welfare organizations
05
- Labor organizations
06
- Trade associations
07
- Agricultural organizations
08
- Scientific organizations
09
It is important to consult the IRS guidelines and instructions to determine if your organization falls under the category of entities that need to file these forms. The requirements may vary depending on the organization's annual gross receipts and total assets.
10
Please note that this response is based on the assumption that the form mentioned in the question ('www.irsgov.pub.irs-prior2007 Form 990 or Form 990-EZ') refers to the regular Form 990 or 990-EZ versions available on the IRS website as of prior to 2007. If there are any specific modifications or updates to the form in question, it is advisable to refer to the official IRS documentation for accurate guidance.
Fill
form
: Try Risk Free
For pdfFiller’s FAQs
Below is a list of the most common customer questions. If you can’t find an answer to your question, please don’t hesitate to reach out to us.
How can I get wwwirsgovpubirs-prior2007 form 990 990-ez?
The premium pdfFiller subscription gives you access to over 25M fillable templates that you can download, fill out, print, and sign. The library has state-specific wwwirsgovpubirs-prior2007 form 990 990-ez and other forms. Find the template you need and change it using powerful tools.
How do I edit wwwirsgovpubirs-prior2007 form 990 990-ez in Chrome?
Add pdfFiller Google Chrome Extension to your web browser to start editing wwwirsgovpubirs-prior2007 form 990 990-ez and other documents directly from a Google search page. The service allows you to make changes in your documents when viewing them in Chrome. Create fillable documents and edit existing PDFs from any internet-connected device with pdfFiller.
How do I complete wwwirsgovpubirs-prior2007 form 990 990-ez on an Android device?
Use the pdfFiller Android app to finish your wwwirsgovpubirs-prior2007 form 990 990-ez and other documents on your Android phone. The app has all the features you need to manage your documents, like editing content, eSigning, annotating, sharing files, and more. At any time, as long as there is an internet connection.
What is wwwirsgovpubirs-prior2007 form 990 990-ez?
The wwwirsgovpubirs-prior2007 form 990 990-ez is a tax form used by tax-exempt organizations to provide the IRS with information on their income, expenses, and activities.
Who is required to file wwwirsgovpubirs-prior2007 form 990 990-ez?
Certain tax-exempt organizations, with gross receipts less than $200,000 and total assets less than $500,000, are required to file the wwwirsgovpubirs-prior2007 form 990 990-ez.
How to fill out wwwirsgovpubirs-prior2007 form 990 990-ez?
To fill out the wwwirsgovpubirs-prior2007 form 990 990-ez, organizations need to provide information about their finances, activities, and governance. They can use the instructions provided by the IRS to guide them through the form.
What is the purpose of wwwirsgovpubirs-prior2007 form 990 990-ez?
The purpose of the wwwirsgovpubirs-prior2007 form 990 990-ez is to ensure that tax-exempt organizations are meeting their tax-exempt purposes and are being transparent about their finances and activities.
What information must be reported on wwwirsgovpubirs-prior2007 form 990 990-ez?
On the wwwirsgovpubirs-prior2007 form 990 990-ez, organizations must report their revenue, expenses, assets, liabilities, program activities, and governance structure.
Fill out your wwwirsgovpubirs-prior2007 form 990 990-ez online with pdfFiller!
pdfFiller is an end-to-end solution for managing, creating, and editing documents and forms in the cloud. Save time and hassle by preparing your tax forms online.

Wwwirsgovpubirs-prior2007 Form 990 990-Ez is not the form you're looking for?Search for another form here.
Relevant keywords
Related Forms
If you believe that this page should be taken down, please follow our DMCA take down process
here
.
This form may include fields for payment information. Data entered in these fields is not covered by PCI DSS compliance.