Get the free Contractor Registration form
Show details
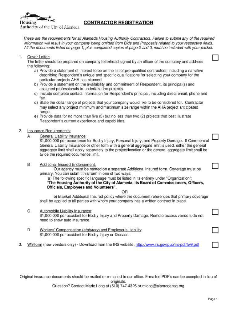
CONTRACTOR REGISTRATION These are the requirements for all Alameda Housing Authority Contractors. Failure to submit any of the required information will result in your company being omitted from Bids
We are not affiliated with any brand or entity on this form
Get, Create, Make and Sign contractor registration form
Edit your contractor registration form form online
Type text, complete fillable fields, insert images, highlight or blackout data for discretion, add comments, and more.
Add your legally-binding signature
Draw or type your signature, upload a signature image, or capture it with your digital camera.
Share your form instantly
Email, fax, or share your contractor registration form form via URL. You can also download, print, or export forms to your preferred cloud storage service.
How to edit contractor registration form online
Follow the steps below to use a professional PDF editor:
1
Log in to your account. Start Free Trial and sign up a profile if you don't have one.
2
Upload a file. Select Add New on your Dashboard and upload a file from your device or import it from the cloud, online, or internal mail. Then click Edit.
3
Edit contractor registration form. Add and change text, add new objects, move pages, add watermarks and page numbers, and more. Then click Done when you're done editing and go to the Documents tab to merge or split the file. If you want to lock or unlock the file, click the lock or unlock button.
4
Get your file. Select your file from the documents list and pick your export method. You may save it as a PDF, email it, or upload it to the cloud.
With pdfFiller, it's always easy to work with documents.
Uncompromising security for your PDF editing and eSignature needs
Your private information is safe with pdfFiller. We employ end-to-end encryption, secure cloud storage, and advanced access control to protect your documents and maintain regulatory compliance.
How to fill out contractor registration form
How to fill out contractor registration form
01
Start by visiting the official website of the organization that requires contractor registration.
02
Look for the 'Contractor Registration' or 'Vendor Registration' link on the website.
03
Click on the link to access the contractor registration form.
04
Read the instructions and guidelines provided on the form carefully.
05
Fill in your personal information such as name, address, contact details, and any other required details.
06
Provide information about your previous experience as a contractor, including any licenses or certificates you hold.
07
Fill in the details of your business, including the business name, type of services offered, and any relevant registrations or certifications.
08
If required, provide details about your financial status or any insurance coverage you have.
09
Review the form to ensure all the information provided is accurate and complete.
10
Submit the form online or as per the instructions provided on the website.
11
Wait for confirmation or further communication from the organization regarding your registration status.
Who needs contractor registration form?
01
Contractor registration form is typically required by organizations or companies that engage in contracting services.
02
This form is necessary for individuals or businesses who wish to provide their services as contractors to the organization.
03
The form helps the organization evaluate the suitability and eligibility of contractors before engaging in any business transactions.
04
Both individuals and businesses may need to fill out the contractor registration form depending on the requirements of the organization.
Fill
form
: Try Risk Free
For pdfFiller’s FAQs
Below is a list of the most common customer questions. If you can’t find an answer to your question, please don’t hesitate to reach out to us.
How can I modify contractor registration form without leaving Google Drive?
Using pdfFiller with Google Docs allows you to create, amend, and sign documents straight from your Google Drive. The add-on turns your contractor registration form into a dynamic fillable form that you can manage and eSign from anywhere.
Can I create an electronic signature for the contractor registration form in Chrome?
As a PDF editor and form builder, pdfFiller has a lot of features. It also has a powerful e-signature tool that you can add to your Chrome browser. With our extension, you can type, draw, or take a picture of your signature with your webcam to make your legally-binding eSignature. Choose how you want to sign your contractor registration form and you'll be done in minutes.
How do I edit contractor registration form straight from my smartphone?
The pdfFiller apps for iOS and Android smartphones are available in the Apple Store and Google Play Store. You may also get the program at https://edit-pdf-ios-android.pdffiller.com/. Open the web app, sign in, and start editing contractor registration form.
What is contractor registration form?
Contractor registration form is a document that contractors are required to fill out in order to register and operate legally in a specific jurisdiction.
Who is required to file contractor registration form?
Contractors who wish to operate legally in a specific jurisdiction are required to file the contractor registration form.
How to fill out contractor registration form?
Contractors can fill out the contractor registration form by providing all the required information accurately and submitting it to the relevant authority.
What is the purpose of contractor registration form?
The purpose of the contractor registration form is to ensure that contractors are operating legally within a specific jurisdiction and to collect necessary information about their business.
What information must be reported on contractor registration form?
Contractors must report information such as their business name, contact information, license number, insurance details, and any other relevant information required by the jurisdiction.
Fill out your contractor registration form online with pdfFiller!
pdfFiller is an end-to-end solution for managing, creating, and editing documents and forms in the cloud. Save time and hassle by preparing your tax forms online.
Contractor Registration Form is not the form you're looking for?Search for another form here.
Relevant keywords
Related Forms
If you believe that this page should be taken down, please follow our DMCA take down process
here
.
This form may include fields for payment information. Data entered in these fields is not covered by PCI DSS compliance.