
Get the free Software Transfer Agreement form. Software Transfer Agreement form
Show details
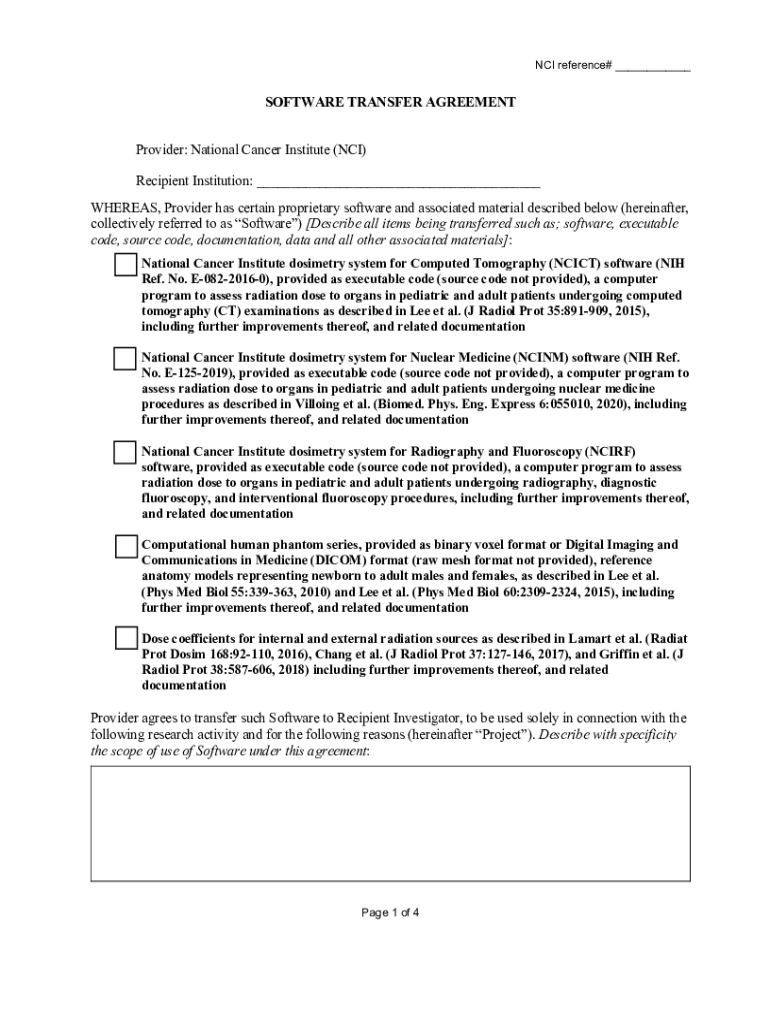
NCI reference# ___SOFTWARE TRANSFER AGREEMENT Provider: National Cancer Institute (NCI) Recipient Institution: ___ WHEREAS, Provider has certain proprietary software and associated material described
We are not affiliated with any brand or entity on this form
Get, Create, Make and Sign software transfer agreement form

Edit your software transfer agreement form form online
Type text, complete fillable fields, insert images, highlight or blackout data for discretion, add comments, and more.

Add your legally-binding signature
Draw or type your signature, upload a signature image, or capture it with your digital camera.

Share your form instantly
Email, fax, or share your software transfer agreement form form via URL. You can also download, print, or export forms to your preferred cloud storage service.
How to edit software transfer agreement form online
Follow the guidelines below to use a professional PDF editor:
1
Register the account. Begin by clicking Start Free Trial and create a profile if you are a new user.
2
Prepare a file. Use the Add New button. Then upload your file to the system from your device, importing it from internal mail, the cloud, or by adding its URL.
3
Edit software transfer agreement form. Rearrange and rotate pages, insert new and alter existing texts, add new objects, and take advantage of other helpful tools. Click Done to apply changes and return to your Dashboard. Go to the Documents tab to access merging, splitting, locking, or unlocking functions.
4
Save your file. Select it from your list of records. Then, move your cursor to the right toolbar and choose one of the exporting options. You can save it in multiple formats, download it as a PDF, send it by email, or store it in the cloud, among other things.
It's easier to work with documents with pdfFiller than you could have believed. You may try it out for yourself by signing up for an account.
Uncompromising security for your PDF editing and eSignature needs
Your private information is safe with pdfFiller. We employ end-to-end encryption, secure cloud storage, and advanced access control to protect your documents and maintain regulatory compliance.
How to fill out software transfer agreement form

How to fill out software transfer agreement form
01
Start by downloading the software transfer agreement form from a trusted source.
02
Read the form thoroughly to understand the terms and conditions for transferring the software.
03
Enter the details of the transferor and transferee in the designated fields, including their names, addresses, and contact information.
04
Specify the software being transferred, including the version number and any associated documentation or licenses.
05
Clearly state the terms of the transfer, including any limitations, restrictions, or rights granted to the transferee.
06
Include any payment details or consideration for the transfer, if applicable.
07
Review the form to ensure all necessary information is provided and accurately documented.
08
Sign the agreement along with the transferor and transferee, and have it witnessed if required.
09
Make copies of the completed agreement for each party involved.
10
Store the original agreement in a secure location for future reference if needed.
Who needs software transfer agreement form?
01
Software developers and companies who wish to transfer ownership or rights to a software product.
02
Individuals or businesses looking to acquire software through a transfer from a third party.
03
Lawyers or legal professionals involved in drafting software transfer agreements.
04
Investors or stakeholders requiring a clear understanding of the terms and conditions of a software transfer.
Fill
form
: Try Risk Free
For pdfFiller’s FAQs
Below is a list of the most common customer questions. If you can’t find an answer to your question, please don’t hesitate to reach out to us.
How do I edit software transfer agreement form online?
pdfFiller not only lets you change the content of your files, but you can also change the number and order of pages. Upload your software transfer agreement form to the editor and make any changes in a few clicks. The editor lets you black out, type, and erase text in PDFs. You can also add images, sticky notes, and text boxes, as well as many other things.
How do I edit software transfer agreement form on an iOS device?
You certainly can. You can quickly edit, distribute, and sign software transfer agreement form on your iOS device with the pdfFiller mobile app. Purchase it from the Apple Store and install it in seconds. The program is free, but in order to purchase a subscription or activate a free trial, you must first establish an account.
How do I complete software transfer agreement form on an iOS device?
In order to fill out documents on your iOS device, install the pdfFiller app. Create an account or log in to an existing one if you have a subscription to the service. Once the registration process is complete, upload your software transfer agreement form. You now can take advantage of pdfFiller's advanced functionalities: adding fillable fields and eSigning documents, and accessing them from any device, wherever you are.
What is software transfer agreement form?
Software Transfer Agreement Form is a legal document that outlines the terms and conditions related to the transfer of software rights from one party to another.
Who is required to file software transfer agreement form?
Any party involved in the transfer of software rights is required to file the software transfer agreement form.
How to fill out software transfer agreement form?
The software transfer agreement form can be filled out by providing all necessary information about the parties involved, the software being transferred, and the terms of the transfer.
What is the purpose of software transfer agreement form?
The purpose of the software transfer agreement form is to legally document the transfer of software rights and ensure that all parties involved are in agreement with the terms of the transfer.
What information must be reported on software transfer agreement form?
The software transfer agreement form must include information about the parties involved, the software being transferred, the terms of the transfer, and any relevant dates.
Fill out your software transfer agreement form online with pdfFiller!
pdfFiller is an end-to-end solution for managing, creating, and editing documents and forms in the cloud. Save time and hassle by preparing your tax forms online.

Software Transfer Agreement Form is not the form you're looking for?Search for another form here.
Relevant keywords
Related Forms
If you believe that this page should be taken down, please follow our DMCA take down process
here
.
This form may include fields for payment information. Data entered in these fields is not covered by PCI DSS compliance.