
Get the free City forges maintenance agreement for new downtown art park - ftp ci missoula mt
Show details
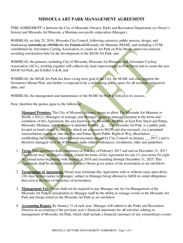
MISSOULA ART PARK MANAGEMENT AGREEMENT THIS AGREEMENT is between the City of Missoula (Owner), Parks and Recreation Department (as Owners liaison) and Missoula Art Museum, a Montana nonprofit corporation
We are not affiliated with any brand or entity on this form
Get, Create, Make and Sign city forges maintenance agreement

Edit your city forges maintenance agreement form online
Type text, complete fillable fields, insert images, highlight or blackout data for discretion, add comments, and more.

Add your legally-binding signature
Draw or type your signature, upload a signature image, or capture it with your digital camera.

Share your form instantly
Email, fax, or share your city forges maintenance agreement form via URL. You can also download, print, or export forms to your preferred cloud storage service.
Editing city forges maintenance agreement online
Follow the steps below to use a professional PDF editor:
1
Set up an account. If you are a new user, click Start Free Trial and establish a profile.
2
Prepare a file. Use the Add New button. Then upload your file to the system from your device, importing it from internal mail, the cloud, or by adding its URL.
3
Edit city forges maintenance agreement. Replace text, adding objects, rearranging pages, and more. Then select the Documents tab to combine, divide, lock or unlock the file.
4
Get your file. Select your file from the documents list and pick your export method. You may save it as a PDF, email it, or upload it to the cloud.
Uncompromising security for your PDF editing and eSignature needs
Your private information is safe with pdfFiller. We employ end-to-end encryption, secure cloud storage, and advanced access control to protect your documents and maintain regulatory compliance.
How to fill out city forges maintenance agreement

How to fill out city forges maintenance agreement
01
Begin by gathering all the necessary information such as the name and contact details of the city or municipality, as well as the details of the maintenance agreement.
02
Start by writing the header section of the agreement, which includes the title 'City Forges Maintenance Agreement' and the date of the agreement.
03
Next, include a brief introduction or background information about the purpose of the agreement and the parties involved.
04
Include a section outlining the scope of maintenance services that will be provided, including specific details such as the frequency of maintenance visits and the types of maintenance tasks to be performed.
05
Specify the responsibilities of both parties, including any obligations or requirements for the city or municipality to provide necessary access or information.
06
Include a section on payment terms, such as the cost of the maintenance services and the agreed-upon payment schedule.
07
Outline any terms and conditions, including termination clauses or dispute resolution mechanisms, that may be relevant to the agreement.
08
Finally, include signature blocks for both parties to sign and date the agreement.
09
Review the completed agreement to ensure all necessary sections have been included and all information is accurate.
10
Distribute copies of the signed agreement to all relevant parties and keep a copy for your records.
Who needs city forges maintenance agreement?
01
City forges maintenance agreement is typically needed by cities or municipalities that have forges or blacksmithing operations.
02
It is necessary for these cities to ensure that they have a formal agreement in place with maintenance providers to ensure regular upkeep and proper functioning of their forges.
03
This agreement may be required by city officials, maintenance departments, or any party responsible for managing the maintenance and operation of city forges.
Fill
form
: Try Risk Free
For pdfFiller’s FAQs
Below is a list of the most common customer questions. If you can’t find an answer to your question, please don’t hesitate to reach out to us.
How do I complete city forges maintenance agreement online?
Filling out and eSigning city forges maintenance agreement is now simple. The solution allows you to change and reorganize PDF text, add fillable fields, and eSign the document. Start a free trial of pdfFiller, the best document editing solution.
How do I edit city forges maintenance agreement in Chrome?
city forges maintenance agreement can be edited, filled out, and signed with the pdfFiller Google Chrome Extension. You can open the editor right from a Google search page with just one click. Fillable documents can be done on any web-connected device without leaving Chrome.
Can I sign the city forges maintenance agreement electronically in Chrome?
You certainly can. You get not just a feature-rich PDF editor and fillable form builder with pdfFiller, but also a robust e-signature solution that you can add right to your Chrome browser. You may use our addon to produce a legally enforceable eSignature by typing, sketching, or photographing your signature with your webcam. Choose your preferred method and eSign your city forges maintenance agreement in minutes.
What is city forges maintenance agreement?
City forges maintenance agreement is a contract between a city and a maintenance provider for upkeep and repair of city-owned forges.
Who is required to file city forges maintenance agreement?
The maintenance provider and the city officials are required to file the city forges maintenance agreement.
How to fill out city forges maintenance agreement?
The city forges maintenance agreement can be filled out by providing all required information about the maintenance services to be provided, duration of the agreement, and signatures of both parties.
What is the purpose of city forges maintenance agreement?
The purpose of city forges maintenance agreement is to ensure proper upkeep and repair of city-owned forges to maintain their functionality and safety.
What information must be reported on city forges maintenance agreement?
Information such as details of maintenance services, duration of agreement, contact information of both parties, and any terms and conditions must be reported on the city forges maintenance agreement.
Fill out your city forges maintenance agreement online with pdfFiller!
pdfFiller is an end-to-end solution for managing, creating, and editing documents and forms in the cloud. Save time and hassle by preparing your tax forms online.

City Forges Maintenance Agreement is not the form you're looking for?Search for another form here.
Relevant keywords
Related Forms
If you believe that this page should be taken down, please follow our DMCA take down process
here
.
This form may include fields for payment information. Data entered in these fields is not covered by PCI DSS compliance.