Get the free www.abessnorkeling.comabesshopAbe's Snorkeling & Bio Bay Tours Gift Shop - f...
Show details
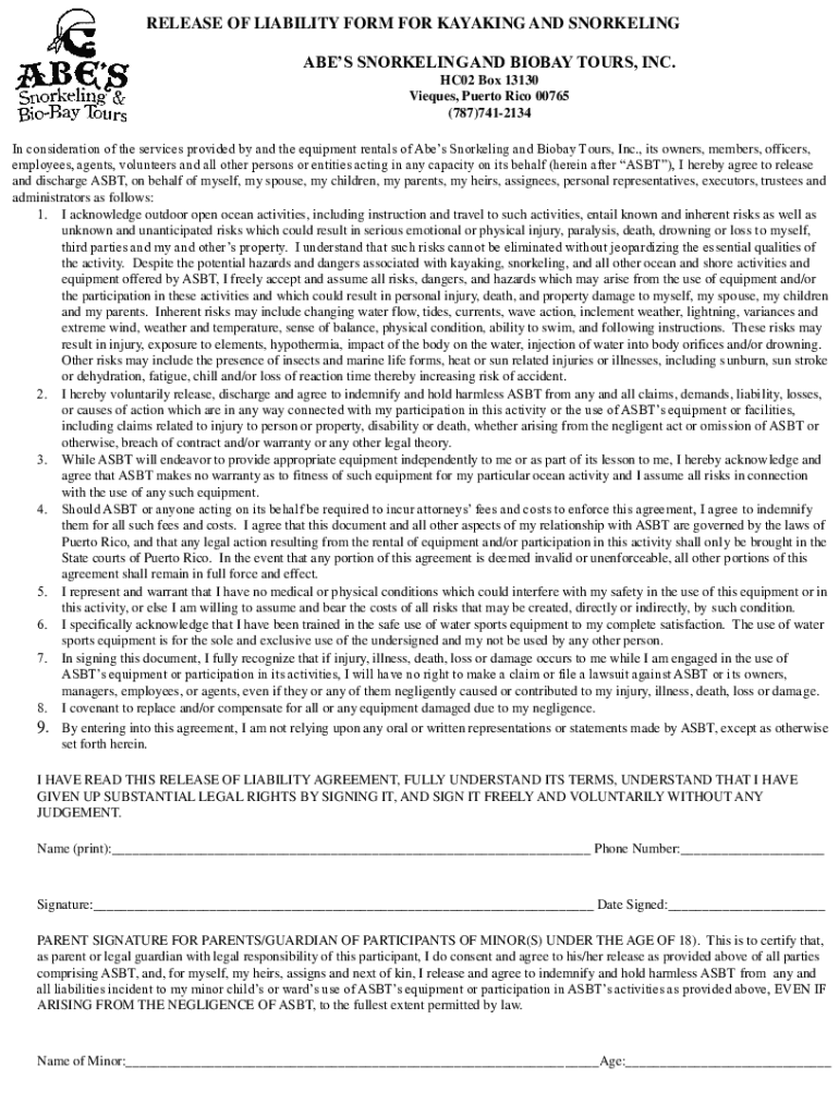
RELEASE OF LIABILITY FORM FOR KAYAKING AND SNORKELING ABES SNORKELING AND BOBBY TOURS, INC. HC02 Box 13130 Vie ques, Puerto Rico 00765 (787)7412134 In consideration of the services provided by and
We are not affiliated with any brand or entity on this form
Get, Create, Make and Sign wwwabessnorkelingcomabesshopabes snorkeling ampamp bio
Edit your wwwabessnorkelingcomabesshopabes snorkeling ampamp bio form online
Type text, complete fillable fields, insert images, highlight or blackout data for discretion, add comments, and more.
Add your legally-binding signature
Draw or type your signature, upload a signature image, or capture it with your digital camera.
Share your form instantly
Email, fax, or share your wwwabessnorkelingcomabesshopabes snorkeling ampamp bio form via URL. You can also download, print, or export forms to your preferred cloud storage service.
Editing wwwabessnorkelingcomabesshopabes snorkeling ampamp bio online
Follow the steps down below to take advantage of the professional PDF editor:
1
Register the account. Begin by clicking Start Free Trial and create a profile if you are a new user.
2
Simply add a document. Select Add New from your Dashboard and import a file into the system by uploading it from your device or importing it via the cloud, online, or internal mail. Then click Begin editing.
3
Edit wwwabessnorkelingcomabesshopabes snorkeling ampamp bio. Text may be added and replaced, new objects can be included, pages can be rearranged, watermarks and page numbers can be added, and so on. When you're done editing, click Done and then go to the Documents tab to combine, divide, lock, or unlock the file.
4
Get your file. Select your file from the documents list and pick your export method. You may save it as a PDF, email it, or upload it to the cloud.
With pdfFiller, it's always easy to work with documents. Check it out!
Uncompromising security for your PDF editing and eSignature needs
Your private information is safe with pdfFiller. We employ end-to-end encryption, secure cloud storage, and advanced access control to protect your documents and maintain regulatory compliance.
How to fill out wwwabessnorkelingcomabesshopabes snorkeling ampamp bio
How to fill out wwwabessnorkelingcomabesshopabes snorkeling ampamp bio
01
Go to the website www.abessnorkeling.com/abesshop/abes-snorkeling-amp-bio.
02
Look for the section or page that allows you to fill out the information.
03
Start by providing your personal details such as name, email address, and contact number.
04
Continue by entering any specific requirements or preferences you may have for your snorkeling and bio experience.
05
Double-check all the information you have entered to ensure accuracy.
06
Submit the form or click the 'Submit' button to complete the filling out process.
Who needs wwwabessnorkelingcomabesshopabes snorkeling ampamp bio?
01
Anyone who is interested in snorkeling and exploring marine life would benefit from filling out www.abessnorkeling.com/abesshop/abes-snorkeling-amp-bio. It is for individuals who want to book a snorkeling tour or experience and learn more about the marine environment and biodiversity. Whether you are a beginner or an experienced snorkeler, filling out the form on this website can help you plan and customize your snorkeling adventure.
Fill
form
: Try Risk Free
For pdfFiller’s FAQs
Below is a list of the most common customer questions. If you can’t find an answer to your question, please don’t hesitate to reach out to us.
How can I send wwwabessnorkelingcomabesshopabes snorkeling ampamp bio to be eSigned by others?
Once you are ready to share your wwwabessnorkelingcomabesshopabes snorkeling ampamp bio, you can easily send it to others and get the eSigned document back just as quickly. Share your PDF by email, fax, text message, or USPS mail, or notarize it online. You can do all of this without ever leaving your account.
How do I complete wwwabessnorkelingcomabesshopabes snorkeling ampamp bio online?
pdfFiller has made it simple to fill out and eSign wwwabessnorkelingcomabesshopabes snorkeling ampamp bio. The application has capabilities that allow you to modify and rearrange PDF content, add fillable fields, and eSign the document. Begin a free trial to discover all of the features of pdfFiller, the best document editing solution.
How do I complete wwwabessnorkelingcomabesshopabes snorkeling ampamp bio on an iOS device?
In order to fill out documents on your iOS device, install the pdfFiller app. Create an account or log in to an existing one if you have a subscription to the service. Once the registration process is complete, upload your wwwabessnorkelingcomabesshopabes snorkeling ampamp bio. You now can take advantage of pdfFiller's advanced functionalities: adding fillable fields and eSigning documents, and accessing them from any device, wherever you are.
What is wwwabessnorkelingcomabesshopabes snorkeling ampamp bio?
www.abessnorkeling.com/abesshop/abes snorkeling & bio is a website dedicated to promoting snorkeling and eco-friendly practices in the water.
Who is required to file wwwabessnorkelingcomabesshopabes snorkeling ampamp bio?
Anyone who is interested in snorkeling and preserving marine life can visit the website www.abessnorkeling.com/abesshop/abes snorkeling & bio.
How to fill out wwwabessnorkelingcomabesshopabes snorkeling ampamp bio?
To get more information about filling out forms on the website www.abessnorkeling.com/abesshop/abes snorkeling & bio, visitors can explore the site and follow the instructions provided.
What is the purpose of wwwabessnorkelingcomabesshopabes snorkeling ampamp bio?
The website www.abessnorkeling.com/abesshop/abes snorkeling & bio aims to promote snorkeling as well as educate people on how to protect the marine environment.
What information must be reported on wwwabessnorkelingcomabesshopabes snorkeling ampamp bio?
The website www.abessnorkeling.com/abesshop/abes snorkeling & bio may require users to provide personal information, interests in snorkeling, and feedback on eco-friendly practices.
Fill out your wwwabessnorkelingcomabesshopabes snorkeling ampamp bio online with pdfFiller!
pdfFiller is an end-to-end solution for managing, creating, and editing documents and forms in the cloud. Save time and hassle by preparing your tax forms online.
Wwwabessnorkelingcomabesshopabes Snorkeling Ampamp Bio is not the form you're looking for?Search for another form here.
Relevant keywords
Related Forms
If you believe that this page should be taken down, please follow our DMCA take down process
here
.
This form may include fields for payment information. Data entered in these fields is not covered by PCI DSS compliance.