Get the free Contract for Services of Disc Jockey - Simple Dj Contract Agreement ...
Show details
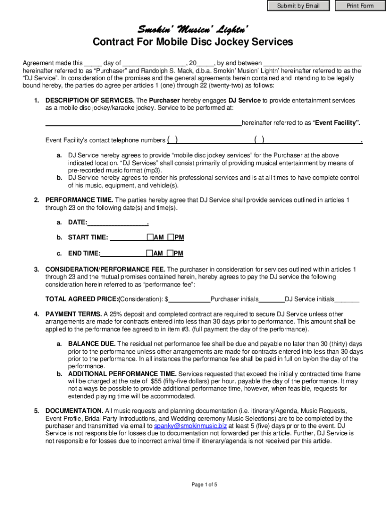
Submit by Emailing Foreskin Music Light Contract For Mobile Disc Jockey Services Agreement made this ___ day of ___, 20___, by and between ___ hereinafter referred to as Purchaser and Randolph S.
We are not affiliated with any brand or entity on this form
Get, Create, Make and Sign contract for services of
Edit your contract for services of form online
Type text, complete fillable fields, insert images, highlight or blackout data for discretion, add comments, and more.
Add your legally-binding signature
Draw or type your signature, upload a signature image, or capture it with your digital camera.
Share your form instantly
Email, fax, or share your contract for services of form via URL. You can also download, print, or export forms to your preferred cloud storage service.
How to edit contract for services of online
To use our professional PDF editor, follow these steps:
1
Set up an account. If you are a new user, click Start Free Trial and establish a profile.
2
Upload a document. Select Add New on your Dashboard and transfer a file into the system in one of the following ways: by uploading it from your device or importing from the cloud, web, or internal mail. Then, click Start editing.
3
Edit contract for services of. Text may be added and replaced, new objects can be included, pages can be rearranged, watermarks and page numbers can be added, and so on. When you're done editing, click Done and then go to the Documents tab to combine, divide, lock, or unlock the file.
4
Save your file. Select it from your records list. Then, click the right toolbar and select one of the various exporting options: save in numerous formats, download as PDF, email, or cloud.
pdfFiller makes working with documents easier than you could ever imagine. Register for an account and see for yourself!
Uncompromising security for your PDF editing and eSignature needs
Your private information is safe with pdfFiller. We employ end-to-end encryption, secure cloud storage, and advanced access control to protect your documents and maintain regulatory compliance.
How to fill out contract for services of
How to fill out contract for services of
01
Begin by reading the contract thoroughly to understand its terms and conditions.
02
Identify the parties involved in the contract, including the service provider and the client.
03
Include the complete and accurate contact information of both parties.
04
Clearly define the scope of services to be provided, including any specific tasks, deliverables, or timelines.
05
Outline the payment terms, including the agreed-upon rates, payment schedule, and any additional fees or charges.
06
Specify the duration of the contract and any renewal or termination clauses.
07
Include clauses for intellectual property rights, confidentiality, and dispute resolution.
08
Make sure to review all legal requirements and regulations related to the provided services.
09
Seek legal advice if necessary to ensure the contract is legally binding and protects the interests of both parties.
10
Sign and date the contract, and ensure that all parties involved have a copy for their records.
Who needs contract for services of?
01
Anyone who wishes to engage in a service agreement with another party needs a contract for services. This includes individuals, businesses, organizations, and freelancers who provide or receive services such as consulting, marketing, design, programming, writing, and more.
Fill
form
: Try Risk Free
For pdfFiller’s FAQs
Below is a list of the most common customer questions. If you can’t find an answer to your question, please don’t hesitate to reach out to us.
How do I modify my contract for services of in Gmail?
The pdfFiller Gmail add-on lets you create, modify, fill out, and sign contract for services of and other documents directly in your email. Click here to get pdfFiller for Gmail. Eliminate tedious procedures and handle papers and eSignatures easily.
Where do I find contract for services of?
The pdfFiller premium subscription gives you access to a large library of fillable forms (over 25 million fillable templates) that you can download, fill out, print, and sign. In the library, you'll have no problem discovering state-specific contract for services of and other forms. Find the template you want and tweak it with powerful editing tools.
How do I make changes in contract for services of?
pdfFiller not only allows you to edit the content of your files but fully rearrange them by changing the number and sequence of pages. Upload your contract for services of to the editor and make any required adjustments in a couple of clicks. The editor enables you to blackout, type, and erase text in PDFs, add images, sticky notes and text boxes, and much more.
What is contract for services of?
Contract for services of is a legal agreement between a service provider and a client detailing the terms and conditions of the services being provided.
Who is required to file contract for services of?
Service providers are required to file contract for services of with their clients.
How to fill out contract for services of?
Contract for services of should be filled out by including all necessary information about the services being provided, payment terms, duration of the agreement, and any other relevant details.
What is the purpose of contract for services of?
The purpose of contract for services of is to clearly outline the expectations and responsibilities of both the service provider and the client, to ensure a smooth and mutually beneficial working relationship.
What information must be reported on contract for services of?
Information such as names and contact details of both parties, description of services being provided, payment terms, duration of agreement, and any warranties or guarantees should be reported on contract for services of.
Fill out your contract for services of online with pdfFiller!
pdfFiller is an end-to-end solution for managing, creating, and editing documents and forms in the cloud. Save time and hassle by preparing your tax forms online.
Contract For Services Of is not the form you're looking for?Search for another form here.
Relevant keywords
Related Forms
If you believe that this page should be taken down, please follow our DMCA take down process
here
.
This form may include fields for payment information. Data entered in these fields is not covered by PCI DSS compliance.