Get the free New York Truck Voucher Inventive Program Vehicle ...
Show details
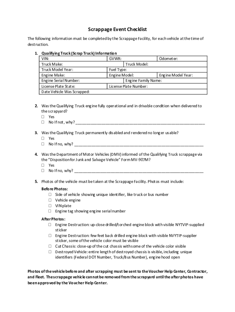
Scrap page Event Checklist The following information must be completed by the Scrap page Facility, for each vehicle at the time of destruction. 1. Qualifying Truck (Scrap Truck) Information VIN: OVER:
We are not affiliated with any brand or entity on this form
Get, Create, Make and Sign new york truck voucher
Edit your new york truck voucher form online
Type text, complete fillable fields, insert images, highlight or blackout data for discretion, add comments, and more.
Add your legally-binding signature
Draw or type your signature, upload a signature image, or capture it with your digital camera.
Share your form instantly
Email, fax, or share your new york truck voucher form via URL. You can also download, print, or export forms to your preferred cloud storage service.
Editing new york truck voucher online
Use the instructions below to start using our professional PDF editor:
1
Check your account. It's time to start your free trial.
2
Prepare a file. Use the Add New button to start a new project. Then, using your device, upload your file to the system by importing it from internal mail, the cloud, or adding its URL.
3
Edit new york truck voucher. Replace text, adding objects, rearranging pages, and more. Then select the Documents tab to combine, divide, lock or unlock the file.
4
Get your file. Select your file from the documents list and pick your export method. You may save it as a PDF, email it, or upload it to the cloud.
pdfFiller makes dealing with documents a breeze. Create an account to find out!
Uncompromising security for your PDF editing and eSignature needs
Your private information is safe with pdfFiller. We employ end-to-end encryption, secure cloud storage, and advanced access control to protect your documents and maintain regulatory compliance.
How to fill out new york truck voucher
How to fill out new york truck voucher
01
Obtain a new york truck voucher application form from the appropriate authorities.
02
Read the instructions provided on the application form carefully.
03
Complete the applicant information section, including your name, address, contact details, and any other required personal information.
04
Provide details of the truck for which you are applying a voucher, such as make, model, year, and Vehicle Identification Number (VIN).
05
Attach any supporting documents required, such as proof of ownership, vehicle registration, and insurance certificates.
06
Fill out the financial information section, providing details of your income, financial status, and any other relevant information.
07
Review the completed form to ensure all the required information is provided and all the fields are accurately filled.
08
Sign and date the application form.
09
Submit the completed form along with any supporting documents to the designated authority.
10
Wait for a response from the authority regarding the status of your application.
Who needs new york truck voucher?
01
Anyone who owns or operates a truck in New York and meets the eligibility criteria may need a New York truck voucher. Typically, individuals or businesses who wish to replace their older, polluting trucks with newer, cleaner models can benefit from the voucher program. The specific eligibility requirements may vary, so it is advisable to check with the appropriate authorities to determine if you qualify for a New York truck voucher.
Fill
form
: Try Risk Free
For pdfFiller’s FAQs
Below is a list of the most common customer questions. If you can’t find an answer to your question, please don’t hesitate to reach out to us.
Can I sign the new york truck voucher electronically in Chrome?
You certainly can. You get not just a feature-rich PDF editor and fillable form builder with pdfFiller, but also a robust e-signature solution that you can add right to your Chrome browser. You may use our addon to produce a legally enforceable eSignature by typing, sketching, or photographing your signature with your webcam. Choose your preferred method and eSign your new york truck voucher in minutes.
Can I create an eSignature for the new york truck voucher in Gmail?
It's easy to make your eSignature with pdfFiller, and then you can sign your new york truck voucher right from your Gmail inbox with the help of pdfFiller's add-on for Gmail. This is a very important point: You must sign up for an account so that you can save your signatures and signed documents.
How do I fill out new york truck voucher on an Android device?
Use the pdfFiller Android app to finish your new york truck voucher and other documents on your Android phone. The app has all the features you need to manage your documents, like editing content, eSigning, annotating, sharing files, and more. At any time, as long as there is an internet connection.
What is new york truck voucher?
The New York truck voucher is a financial incentive program that helps truck owners and fleet operators in New York State to replace older, high-emission trucks with newer, cleaner vehicles.
Who is required to file new york truck voucher?
Truck owners and fleet operators in New York State who want to take advantage of the voucher program are required to file the necessary paperwork.
How to fill out new york truck voucher?
To fill out the New York truck voucher, truck owners and fleet operators must provide information about their existing trucks, the new trucks they plan to purchase, and other required documentation.
What is the purpose of new york truck voucher?
The purpose of the New York truck voucher is to reduce emissions from trucks on the road by incentivizing the replacement of older, polluting vehicles with newer, cleaner models.
What information must be reported on new york truck voucher?
Information such as the make, model, and year of the existing truck, the make, model, and year of the new truck, the vehicle identification number (VIN), and proof of purchase must be reported on the New York truck voucher.
Fill out your new york truck voucher online with pdfFiller!
pdfFiller is an end-to-end solution for managing, creating, and editing documents and forms in the cloud. Save time and hassle by preparing your tax forms online.
New York Truck Voucher is not the form you're looking for?Search for another form here.
Relevant keywords
Related Forms
If you believe that this page should be taken down, please follow our DMCA take down process
here
.
This form may include fields for payment information. Data entered in these fields is not covered by PCI DSS compliance.