
Get the free townofvinland.orgfire-departmentvfd-scholarshipVFD ScholarshipTown of Vinland, Winne...
Show details
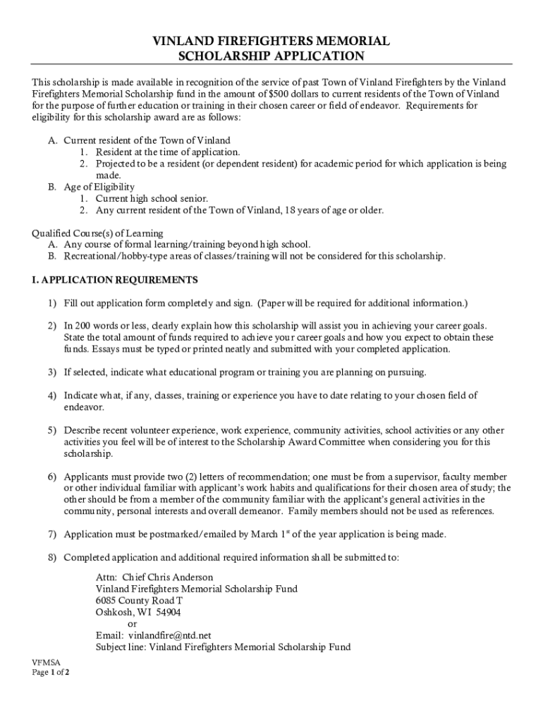
VINLAND FIREFIGHTERS MEMORIAL SCHOLARSHIP APPLICATION This scholarship is made available in recognition of the service of past Town of Vinland Firefighters by the Vinland Firefighters Memorial Scholarship
We are not affiliated with any brand or entity on this form
Get, Create, Make and Sign townofvinlandorgfire-departmentvfd-scholarshipvfd scholarshiptown of vinland

Edit your townofvinlandorgfire-departmentvfd-scholarshipvfd scholarshiptown of vinland form online
Type text, complete fillable fields, insert images, highlight or blackout data for discretion, add comments, and more.

Add your legally-binding signature
Draw or type your signature, upload a signature image, or capture it with your digital camera.

Share your form instantly
Email, fax, or share your townofvinlandorgfire-departmentvfd-scholarshipvfd scholarshiptown of vinland form via URL. You can also download, print, or export forms to your preferred cloud storage service.
Editing townofvinlandorgfire-departmentvfd-scholarshipvfd scholarshiptown of vinland online
Here are the steps you need to follow to get started with our professional PDF editor:
1
Check your account. If you don't have a profile yet, click Start Free Trial and sign up for one.
2
Prepare a file. Use the Add New button to start a new project. Then, using your device, upload your file to the system by importing it from internal mail, the cloud, or adding its URL.
3
Edit townofvinlandorgfire-departmentvfd-scholarshipvfd scholarshiptown of vinland. Rearrange and rotate pages, add new and changed texts, add new objects, and use other useful tools. When you're done, click Done. You can use the Documents tab to merge, split, lock, or unlock your files.
4
Save your file. Select it from your records list. Then, click the right toolbar and select one of the various exporting options: save in numerous formats, download as PDF, email, or cloud.
With pdfFiller, it's always easy to work with documents.
Uncompromising security for your PDF editing and eSignature needs
Your private information is safe with pdfFiller. We employ end-to-end encryption, secure cloud storage, and advanced access control to protect your documents and maintain regulatory compliance.
How to fill out townofvinlandorgfire-departmentvfd-scholarshipvfd scholarshiptown of vinland

How to fill out townofvinlandorgfire-departmentvfd-scholarshipvfd scholarshiptown of vinland
01
To fill out the Town of Vinland Fire Department VFD Scholarship Application, follow the steps below:
02
Visit the website townofvinland.org/fire-department/vfd-scholarship
03
Download the scholarship application form
04
Fill out the form with accurate and complete information
05
Provide any required supporting documents, such as transcripts or letters of recommendation
06
Submit the completed application and supporting documents by the specified deadline
07
Wait for the selection committee to review your application and make a decision
08
If selected, you will be notified and awarded the VFD Scholarship by the Town of Vinland Fire Department.
Who needs townofvinlandorgfire-departmentvfd-scholarshipvfd scholarshiptown of vinland?
01
The Town of Vinland Fire Department VFD Scholarship is intended for individuals who meet the following criteria:
02
- Reside in the town of Vinland
03
- Plan to pursue higher education or vocational training
04
- Have a strong interest or involvement in the field of firefighting or emergency services
05
- Demonstrate financial need or other qualifying factors
06
This scholarship aims to support and encourage individuals who are dedicated to the fire department and emergency services in the town of Vinland.
Fill
form
: Try Risk Free
For pdfFiller’s FAQs
Below is a list of the most common customer questions. If you can’t find an answer to your question, please don’t hesitate to reach out to us.
How do I edit townofvinlandorgfire-departmentvfd-scholarshipvfd scholarshiptown of vinland straight from my smartphone?
You can easily do so with pdfFiller's apps for iOS and Android devices, which can be found at the Apple Store and the Google Play Store, respectively. You can use them to fill out PDFs. We have a website where you can get the app, but you can also get it there. When you install the app, log in, and start editing townofvinlandorgfire-departmentvfd-scholarshipvfd scholarshiptown of vinland, you can start right away.
Can I edit townofvinlandorgfire-departmentvfd-scholarshipvfd scholarshiptown of vinland on an Android device?
You can edit, sign, and distribute townofvinlandorgfire-departmentvfd-scholarshipvfd scholarshiptown of vinland on your mobile device from anywhere using the pdfFiller mobile app for Android; all you need is an internet connection. Download the app and begin streamlining your document workflow from anywhere.
How do I fill out townofvinlandorgfire-departmentvfd-scholarshipvfd scholarshiptown of vinland on an Android device?
Use the pdfFiller app for Android to finish your townofvinlandorgfire-departmentvfd-scholarshipvfd scholarshiptown of vinland. The application lets you do all the things you need to do with documents, like add, edit, and remove text, sign, annotate, and more. There is nothing else you need except your smartphone and an internet connection to do this.
What is townofvinlandorgfire-departmentvfd-scholarshipvfd scholarshiptown of vinland?
The townofvinlandorgfire-departmentvfd-scholarshipvfd scholarshiptown of vinland is a scholarship program offered by the Town of Vinland Fire Department.
Who is required to file townofvinlandorgfire-departmentvfd-scholarshipvfd scholarshiptown of vinland?
Students who meet the eligibility criteria for the scholarship are required to file for the townofvinlandorgfire-departmentvfd-scholarshipvfd scholarshiptown of vinland.
How to fill out townofvinlandorgfire-departmentvfd-scholarshipvfd scholarshiptown of vinland?
To fill out the townofvinlandorgfire-departmentvfd-scholarshipvfd scholarshiptown of vinland, students need to complete the application form and provide all required information.
What is the purpose of townofvinlandorgfire-departmentvfd-scholarshipvfd scholarshiptown of vinland?
The purpose of the townofvinlandorgfire-departmentvfd-scholarshipvfd scholarshiptown of vinland is to provide financial assistance to deserving students pursuing higher education.
What information must be reported on townofvinlandorgfire-departmentvfd-scholarshipvfd scholarshiptown of vinland?
Students must report personal information, academic achievements, extracurricular activities, and financial need on the townofvinlandorgfire-departmentvfd-scholarshipvfd scholarshiptown of vinland.
Fill out your townofvinlandorgfire-departmentvfd-scholarshipvfd scholarshiptown of vinland online with pdfFiller!
pdfFiller is an end-to-end solution for managing, creating, and editing documents and forms in the cloud. Save time and hassle by preparing your tax forms online.

Townofvinlandorgfire-Departmentvfd-Scholarshipvfd Scholarshiptown Of Vinland is not the form you're looking for?Search for another form here.
Relevant keywords
Related Forms
If you believe that this page should be taken down, please follow our DMCA take down process
here
.
This form may include fields for payment information. Data entered in these fields is not covered by PCI DSS compliance.