
Get the free ReferenceDental Professional Advisory Committee - PSCReferenceDentistCommissioned Co...
Show details
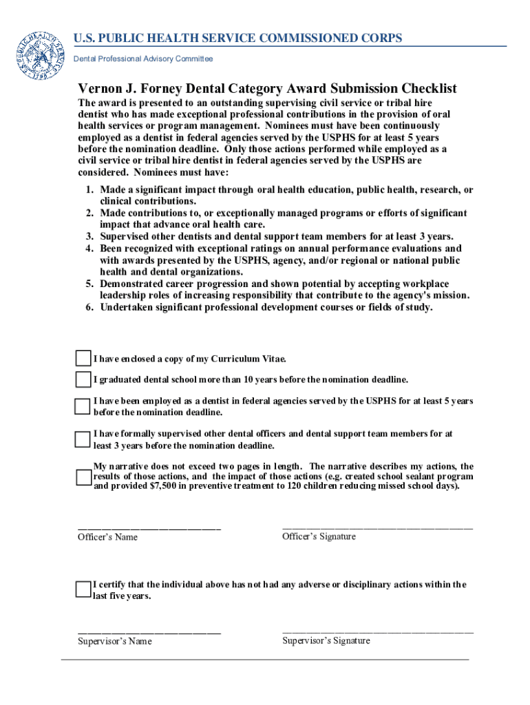
U.S. PUBLIC HEALTH SERVICE COMMISSIONED CORPS Dental Professional Advisory Committee Vernon J. Lorna Dental Category Award Submission Checklist award is presented to an outstanding supervising civil
We are not affiliated with any brand or entity on this form
Get, Create, Make and Sign referencedental professional advisory committee

Edit your referencedental professional advisory committee form online
Type text, complete fillable fields, insert images, highlight or blackout data for discretion, add comments, and more.

Add your legally-binding signature
Draw or type your signature, upload a signature image, or capture it with your digital camera.

Share your form instantly
Email, fax, or share your referencedental professional advisory committee form via URL. You can also download, print, or export forms to your preferred cloud storage service.
How to edit referencedental professional advisory committee online
Here are the steps you need to follow to get started with our professional PDF editor:
1
Log in. Click Start Free Trial and create a profile if necessary.
2
Upload a file. Select Add New on your Dashboard and upload a file from your device or import it from the cloud, online, or internal mail. Then click Edit.
3
Edit referencedental professional advisory committee. Rearrange and rotate pages, add new and changed texts, add new objects, and use other useful tools. When you're done, click Done. You can use the Documents tab to merge, split, lock, or unlock your files.
4
Get your file. When you find your file in the docs list, click on its name and choose how you want to save it. To get the PDF, you can save it, send an email with it, or move it to the cloud.
It's easier to work with documents with pdfFiller than you can have believed. You can sign up for an account to see for yourself.
Uncompromising security for your PDF editing and eSignature needs
Your private information is safe with pdfFiller. We employ end-to-end encryption, secure cloud storage, and advanced access control to protect your documents and maintain regulatory compliance.
How to fill out referencedental professional advisory committee

How to fill out referencedental professional advisory committee
01
Start by gathering all the necessary information and documents related to the dental professional advisory committee.
02
Fill out the required personal information such as your name, contact details, and professional qualifications.
03
Provide details about your dental background, including your education, certifications, and any relevant experience.
04
Clearly state your reasons for wanting to join the dental professional advisory committee and the contributions you can make.
05
Follow any specific instructions or guidelines provided by the committee in terms of formatting or additional documentation.
06
Double-check your form for any errors or missing information before submitting it.
07
Submit the completed form either through an online platform or by mail, as instructed.
08
Keep a copy of the filled-out form for your records.
Who needs referencedental professional advisory committee?
01
Anyone who is a dental professional and wishes to actively contribute to the dental community can benefit from the dental professional advisory committee.
02
Dental professionals who are passionate about shaping the industry, sharing knowledge, and advocating for advancements may find the committee particularly valuable.
03
It also serves as a platform for networking, collaborating with peers, and staying up-to-date with the latest developments.
04
The dental professional advisory committee can help dentists, dental hygienists, dental assistants, dental educators, researchers, and other dental professionals who are committed to professional growth and improvement.
Fill
form
: Try Risk Free
For pdfFiller’s FAQs
Below is a list of the most common customer questions. If you can’t find an answer to your question, please don’t hesitate to reach out to us.
Where do I find referencedental professional advisory committee?
It's simple with pdfFiller, a full online document management tool. Access our huge online form collection (over 25M fillable forms are accessible) and find the referencedental professional advisory committee in seconds. Open it immediately and begin modifying it with powerful editing options.
How can I edit referencedental professional advisory committee on a smartphone?
You may do so effortlessly with pdfFiller's iOS and Android apps, which are available in the Apple Store and Google Play Store, respectively. You may also obtain the program from our website: https://edit-pdf-ios-android.pdffiller.com/. Open the application, sign in, and begin editing referencedental professional advisory committee right away.
How can I fill out referencedental professional advisory committee on an iOS device?
Get and install the pdfFiller application for iOS. Next, open the app and log in or create an account to get access to all of the solution’s editing features. To open your referencedental professional advisory committee, upload it from your device or cloud storage, or enter the document URL. After you complete all of the required fields within the document and eSign it (if that is needed), you can save it or share it with others.
What is referencedental professional advisory committee?
The referencedental professional advisory committee is a committee that provides guidance and advice on dental professional matters.
Who is required to file referencedental professional advisory committee?
Dental professionals are required to file referencedental professional advisory committee.
How to fill out referencedental professional advisory committee?
To fill out the referencedental professional advisory committee, dental professionals must provide detailed information about their practice and any relevant advisory work.
What is the purpose of referencedental professional advisory committee?
The purpose of the referencedental professional advisory committee is to ensure transparency and ethical practices within the dental profession.
What information must be reported on referencedental professional advisory committee?
Information such as financial disclosures, conflicts of interest, and advisory roles must be reported on the referencedental professional advisory committee.
Fill out your referencedental professional advisory committee online with pdfFiller!
pdfFiller is an end-to-end solution for managing, creating, and editing documents and forms in the cloud. Save time and hassle by preparing your tax forms online.

Referencedental Professional Advisory Committee is not the form you're looking for?Search for another form here.
Relevant keywords
Related Forms
If you believe that this page should be taken down, please follow our DMCA take down process
here
.
This form may include fields for payment information. Data entered in these fields is not covered by PCI DSS compliance.