Get the free Postsecondary Sustainability Award Nominee Presentation Form for U.S. Department of ...
Show details
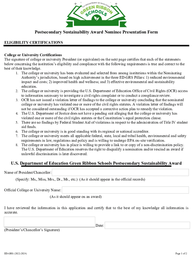
Postsecondary Sustainability Award Nominee Presentation Form ELIGIBILITY CERTIFICATIONS College or University Certifications The signature of college or university President (or equivalent) on the
We are not affiliated with any brand or entity on this form
Get, Create, Make and Sign postsecondary sustainability award nominee
Edit your postsecondary sustainability award nominee form online
Type text, complete fillable fields, insert images, highlight or blackout data for discretion, add comments, and more.
Add your legally-binding signature
Draw or type your signature, upload a signature image, or capture it with your digital camera.
Share your form instantly
Email, fax, or share your postsecondary sustainability award nominee form via URL. You can also download, print, or export forms to your preferred cloud storage service.
Editing postsecondary sustainability award nominee online
To use the professional PDF editor, follow these steps:
1
Check your account. In case you're new, it's time to start your free trial.
2
Simply add a document. Select Add New from your Dashboard and import a file into the system by uploading it from your device or importing it via the cloud, online, or internal mail. Then click Begin editing.
3
Edit postsecondary sustainability award nominee. Rearrange and rotate pages, add new and changed texts, add new objects, and use other useful tools. When you're done, click Done. You can use the Documents tab to merge, split, lock, or unlock your files.
4
Save your file. Select it from your list of records. Then, move your cursor to the right toolbar and choose one of the exporting options. You can save it in multiple formats, download it as a PDF, send it by email, or store it in the cloud, among other things.
It's easier to work with documents with pdfFiller than you can have believed. You can sign up for an account to see for yourself.
Uncompromising security for your PDF editing and eSignature needs
Your private information is safe with pdfFiller. We employ end-to-end encryption, secure cloud storage, and advanced access control to protect your documents and maintain regulatory compliance.
How to fill out postsecondary sustainability award nominee
How to fill out postsecondary sustainability award nominee
01
To fill out the postsecondary sustainability award nominee, follow these steps:
02
Start by providing the name of the nominee, which is the postsecondary institution or individual being nominated for the sustainability award.
03
Include the contact information of the nominee, such as their email address, phone number, and mailing address.
04
Specify the category for which the nominee is being nominated. This could include categories like energy conservation, waste reduction, community engagement, or innovation.
05
Describe in detail the sustainability initiatives or projects that make the nominee worthy of the award. Provide specific examples, results, and outcomes.
06
Include any supporting documents or evidence that showcase the nominee's sustainability efforts. This could be reports, photos, videos, or testimonials.
07
Provide information about any collaborations or partnerships the nominee has engaged in to achieve their sustainability goals.
08
Highlight any noteworthy achievements, awards, or recognitions the nominee has received for their sustainability initiatives.
09
End the nomination by providing your own contact information and a brief explanation of why you believe the nominee deserves the postsecondary sustainability award.
10
Review and proofread all the information before submitting the nomination form. Make sure all the details are accurate and complete.
11
Submit the nomination form within the specified deadline. Note any additional requirements or guidelines mentioned by the awarding organization.
Who needs postsecondary sustainability award nominee?
01
The postsecondary sustainability award nominee is needed by organizations or institutions that hold sustainability awards for postsecondary education. This could include universities, colleges, sustainability associations, or government bodies focused on recognizing and promoting sustainability efforts in the postsecondary sector.
02
They require nominations from individuals or organizations who want to acknowledge and celebrate the sustainability achievements of a postsecondary institution or individual. The nominee would be evaluated and considered for the sustainability award based on their initiatives, projects, collaborations, and overall contribution towards sustainability in the postsecondary field.
Fill
form
: Try Risk Free
For pdfFiller’s FAQs
Below is a list of the most common customer questions. If you can’t find an answer to your question, please don’t hesitate to reach out to us.
How can I get postsecondary sustainability award nominee?
With pdfFiller, an all-in-one online tool for professional document management, it's easy to fill out documents. Over 25 million fillable forms are available on our website, and you can find the postsecondary sustainability award nominee in a matter of seconds. Open it right away and start making it your own with help from advanced editing tools.
How do I make edits in postsecondary sustainability award nominee without leaving Chrome?
Install the pdfFiller Google Chrome Extension in your web browser to begin editing postsecondary sustainability award nominee and other documents right from a Google search page. When you examine your documents in Chrome, you may make changes to them. With pdfFiller, you can create fillable documents and update existing PDFs from any internet-connected device.
Can I create an electronic signature for the postsecondary sustainability award nominee in Chrome?
Yes, you can. With pdfFiller, you not only get a feature-rich PDF editor and fillable form builder but a powerful e-signature solution that you can add directly to your Chrome browser. Using our extension, you can create your legally-binding eSignature by typing, drawing, or capturing a photo of your signature using your webcam. Choose whichever method you prefer and eSign your postsecondary sustainability award nominee in minutes.
What is postsecondary sustainability award nominee?
Postsecondary sustainability award nominee refers to a nominee from a postsecondary institution who demonstrates outstanding achievements in sustainability.
Who is required to file postsecondary sustainability award nominee?
Postsecondary institutions are required to file the postsecondary sustainability award nominee.
How to fill out postsecondary sustainability award nominee?
To fill out the postsecondary sustainability award nominee, the institution must provide detailed information about their sustainability initiatives and achievements.
What is the purpose of postsecondary sustainability award nominee?
The purpose of the postsecondary sustainability award nominee is to recognize and celebrate the efforts of postsecondary institutions in promoting sustainability.
What information must be reported on postsecondary sustainability award nominee?
The postsecondary sustainability award nominee must report on their sustainability goals, initiatives, achievements, and impacts.
Fill out your postsecondary sustainability award nominee online with pdfFiller!
pdfFiller is an end-to-end solution for managing, creating, and editing documents and forms in the cloud. Save time and hassle by preparing your tax forms online.
Postsecondary Sustainability Award Nominee is not the form you're looking for?Search for another form here.
Relevant keywords
Related Forms
If you believe that this page should be taken down, please follow our DMCA take down process
here
.
This form may include fields for payment information. Data entered in these fields is not covered by PCI DSS compliance.