Get the free Contract Number - California State University, Long Beach
Show details
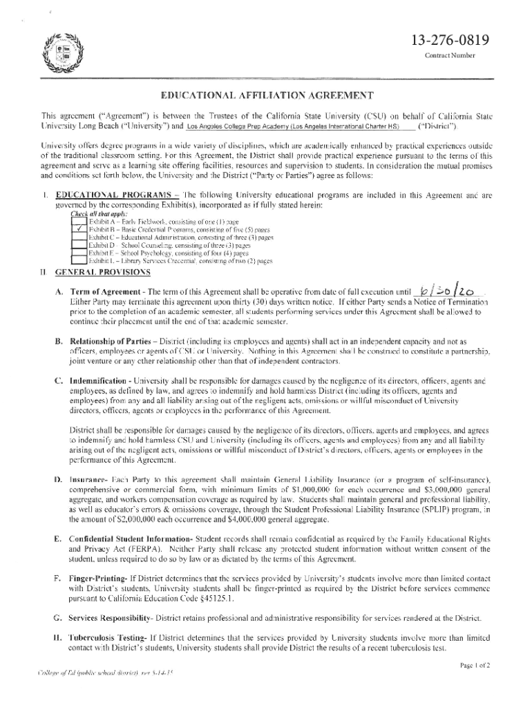
132760819 Contract NumberCALIFORNIA STATE UNIVERSITY, LONG BEACH DISTRICT AFFILIATION AGREEMENT Exhibit B BASIC CREDENTIAL PROGRAMS: STUDENT TEACHINGWHEREAS, the District is authorized to enter into
We are not affiliated with any brand or entity on this form
Get, Create, Make and Sign contract number - california
Edit your contract number - california form online
Type text, complete fillable fields, insert images, highlight or blackout data for discretion, add comments, and more.
Add your legally-binding signature
Draw or type your signature, upload a signature image, or capture it with your digital camera.
Share your form instantly
Email, fax, or share your contract number - california form via URL. You can also download, print, or export forms to your preferred cloud storage service.
How to edit contract number - california online
To use the professional PDF editor, follow these steps:
1
Check your account. In case you're new, it's time to start your free trial.
2
Prepare a file. Use the Add New button to start a new project. Then, using your device, upload your file to the system by importing it from internal mail, the cloud, or adding its URL.
3
Edit contract number - california. Add and replace text, insert new objects, rearrange pages, add watermarks and page numbers, and more. Click Done when you are finished editing and go to the Documents tab to merge, split, lock or unlock the file.
4
Save your file. Choose it from the list of records. Then, shift the pointer to the right toolbar and select one of the several exporting methods: save it in multiple formats, download it as a PDF, email it, or save it to the cloud.
With pdfFiller, it's always easy to work with documents.
Uncompromising security for your PDF editing and eSignature needs
Your private information is safe with pdfFiller. We employ end-to-end encryption, secure cloud storage, and advanced access control to protect your documents and maintain regulatory compliance.
How to fill out contract number - california
How to fill out contract number - california
01
To fill out a contract number in California, follow these steps:
02
Start by locating the contract number field on the contract form.
03
Carefully enter the contract number provided by the relevant authority or the party you are contracting with.
04
Double-check the contract number for accuracy, ensuring there are no typos or missing digits.
05
Continue filling out the rest of the contract form as required.
06
Once you have completed filling out the contract number and the entire contract form, review it thoroughly for any errors or omissions.
07
Sign and date the contract as necessary, and make sure all parties involved also sign and date the agreement.
08
Keep a copy of the contract for your records.
Who needs contract number - california?
01
Anyone who is entering into a contract in the state of California needs to provide a contract number. This could include individuals, businesses, organizations, or government entities.
02
The contract number helps to uniquely identify the contract and can be used for reference, tracking, and legal purposes. It is essential for maintaining proper documentation and ensuring the validity and enforceability of the contract in California.
Fill
form
: Try Risk Free
For pdfFiller’s FAQs
Below is a list of the most common customer questions. If you can’t find an answer to your question, please don’t hesitate to reach out to us.
Can I create an electronic signature for signing my contract number - california in Gmail?
It's easy to make your eSignature with pdfFiller, and then you can sign your contract number - california right from your Gmail inbox with the help of pdfFiller's add-on for Gmail. This is a very important point: You must sign up for an account so that you can save your signatures and signed documents.
How can I fill out contract number - california on an iOS device?
In order to fill out documents on your iOS device, install the pdfFiller app. Create an account or log in to an existing one if you have a subscription to the service. Once the registration process is complete, upload your contract number - california. You now can take advantage of pdfFiller's advanced functionalities: adding fillable fields and eSigning documents, and accessing them from any device, wherever you are.
How do I edit contract number - california on an Android device?
The pdfFiller app for Android allows you to edit PDF files like contract number - california. Mobile document editing, signing, and sending. Install the app to ease document management anywhere.
What is contract number - california?
Contract number - California is a unique identifier given to a specific contract or agreement in the state of California.
Who is required to file contract number - california?
Any individual or business entering into a contract in California is required to file a contract number.
How to fill out contract number - california?
To fill out a contract number in California, you must obtain the number from the relevant state department and include it in the contract document.
What is the purpose of contract number - california?
The purpose of contract number - California is to track and monitor contracts within the state for transparency and accountability.
What information must be reported on contract number - california?
The contract number in California must include details such as the parties involved, the terms of the agreement, and any relevant dates.
Fill out your contract number - california online with pdfFiller!
pdfFiller is an end-to-end solution for managing, creating, and editing documents and forms in the cloud. Save time and hassle by preparing your tax forms online.
Contract Number - California is not the form you're looking for?Search for another form here.
Relevant keywords
Related Forms
If you believe that this page should be taken down, please follow our DMCA take down process
here
.
This form may include fields for payment information. Data entered in these fields is not covered by PCI DSS compliance.