
Get the free MASTERS PROGRAM GRADUATE STUDENT HANDBOOK DEPARTMENT OF PSYCHOLOGY ...
Show details
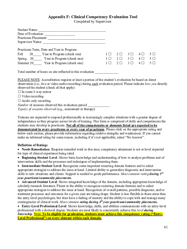
STUDENT HANDBOOK FOR Ph.D. STUDENTS IN GENERAL CLINICAL PSYCHOLOGY DEPARTMENT OF PSYCHOLOGY UNIVERSITY OF NORTH CAROLINA WILMINGTON 20212022 The Graduate School sets general academic regulations and
We are not affiliated with any brand or entity on this form
Get, Create, Make and Sign masters program graduate student

Edit your masters program graduate student form online
Type text, complete fillable fields, insert images, highlight or blackout data for discretion, add comments, and more.

Add your legally-binding signature
Draw or type your signature, upload a signature image, or capture it with your digital camera.

Share your form instantly
Email, fax, or share your masters program graduate student form via URL. You can also download, print, or export forms to your preferred cloud storage service.
Editing masters program graduate student online
Use the instructions below to start using our professional PDF editor:
1
Log into your account. If you don't have a profile yet, click Start Free Trial and sign up for one.
2
Upload a file. Select Add New on your Dashboard and upload a file from your device or import it from the cloud, online, or internal mail. Then click Edit.
3
Edit masters program graduate student. Rearrange and rotate pages, insert new and alter existing texts, add new objects, and take advantage of other helpful tools. Click Done to apply changes and return to your Dashboard. Go to the Documents tab to access merging, splitting, locking, or unlocking functions.
4
Get your file. When you find your file in the docs list, click on its name and choose how you want to save it. To get the PDF, you can save it, send an email with it, or move it to the cloud.
With pdfFiller, dealing with documents is always straightforward.
Uncompromising security for your PDF editing and eSignature needs
Your private information is safe with pdfFiller. We employ end-to-end encryption, secure cloud storage, and advanced access control to protect your documents and maintain regulatory compliance.
How to fill out masters program graduate student

How to fill out masters program graduate student
01
Research and choose a masters program that aligns with your academic and career goals.
02
Check the eligibility requirements for the program and ensure that you meet them.
03
Gather all the necessary documents required for the application, such as transcripts, letters of recommendation, and a statement of purpose.
04
Fill out the online application form accurately and completely.
05
Pay the application fee, if applicable.
06
Submit all the required documents along with the application form, either electronically or through mail.
07
Follow up with the university to confirm that they have received your application.
08
Prepare for any entrance exams or interviews that may be required for admission.
09
Wait for the admission decision from the university.
10
If accepted, complete all the necessary enrollment procedures and submit any additional documents requested by the university.
11
Attend the orientation program for new graduate students and familiarize yourself with the campus and resources available.
12
Register for courses according to the program requirements and meet with your academic advisor for guidance.
13
Begin your masters program and actively engage in coursework, research, and extracurricular activities to enhance your learning experience.
Who needs masters program graduate student?
01
Anyone who wishes to enhance their knowledge and skills in a specific field.
02
Individuals who want to advance their careers or pursue specialized positions that require a higher level of education.
03
Students who are passionate about a particular subject and want to delve deeper into their studies.
04
People who want to conduct research and contribute to the academic community.
05
Those who aspire to become experts or leaders in their chosen field.
06
Anyone who wants to expand their professional network and gain access to more career opportunities in the future.
07
Individuals who are interested in teaching at the college or university level.
Fill
form
: Try Risk Free
For pdfFiller’s FAQs
Below is a list of the most common customer questions. If you can’t find an answer to your question, please don’t hesitate to reach out to us.
Where do I find masters program graduate student?
It's simple using pdfFiller, an online document management tool. Use our huge online form collection (over 25M fillable forms) to quickly discover the masters program graduate student. Open it immediately and start altering it with sophisticated capabilities.
How do I edit masters program graduate student on an iOS device?
No, you can't. With the pdfFiller app for iOS, you can edit, share, and sign masters program graduate student right away. At the Apple Store, you can buy and install it in a matter of seconds. The app is free, but you will need to set up an account if you want to buy a subscription or start a free trial.
How can I fill out masters program graduate student on an iOS device?
Install the pdfFiller iOS app. Log in or create an account to access the solution's editing features. Open your masters program graduate student by uploading it from your device or online storage. After filling in all relevant fields and eSigning if required, you may save or distribute the document.
What is masters program graduate student?
A masters program graduate student is someone who has completed a postgraduate degree or is currently pursuing a master's degree.
Who is required to file masters program graduate student?
Masters program graduate students are usually required to provide information about their academic background, research interests, and career goals.
How to fill out masters program graduate student?
To fill out information as a masters program graduate student, one must provide accurate and up-to-date information about their educational achievements, research experience, and future career plans.
What is the purpose of masters program graduate student?
The purpose of a masters program graduate student is to further their education, gain specialized knowledge in a particular field, and enhance their career opportunities.
What information must be reported on masters program graduate student?
Information such as academic transcripts, statement of purpose, letters of recommendation, standardized test scores, and research experience must be reported on a masters program graduate student application.
Fill out your masters program graduate student online with pdfFiller!
pdfFiller is an end-to-end solution for managing, creating, and editing documents and forms in the cloud. Save time and hassle by preparing your tax forms online.

Masters Program Graduate Student is not the form you're looking for?Search for another form here.
Relevant keywords
Related Forms
If you believe that this page should be taken down, please follow our DMCA take down process
here
.
This form may include fields for payment information. Data entered in these fields is not covered by PCI DSS compliance.