
Get the free www.evansville.edustudent-financial-servicesStudent Financial Services - University ...
Show details
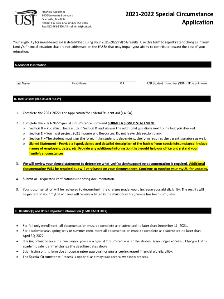
Financial Assistance 8600 University Boulevard Evansville, IN 47712 Phone: 8124641767 or 8004671965 Fax: 8124615305 / Email: finaid@usi.edu20212022 Special Circumstance ApplicationYour eligibility
We are not affiliated with any brand or entity on this form
Get, Create, Make and Sign wwwevansvilleedustudent-financial-servicesstudent financial services

Edit your wwwevansvilleedustudent-financial-servicesstudent financial services form online
Type text, complete fillable fields, insert images, highlight or blackout data for discretion, add comments, and more.

Add your legally-binding signature
Draw or type your signature, upload a signature image, or capture it with your digital camera.

Share your form instantly
Email, fax, or share your wwwevansvilleedustudent-financial-servicesstudent financial services form via URL. You can also download, print, or export forms to your preferred cloud storage service.
How to edit wwwevansvilleedustudent-financial-servicesstudent financial services online
Here are the steps you need to follow to get started with our professional PDF editor:
1
Log into your account. If you don't have a profile yet, click Start Free Trial and sign up for one.
2
Simply add a document. Select Add New from your Dashboard and import a file into the system by uploading it from your device or importing it via the cloud, online, or internal mail. Then click Begin editing.
3
Edit wwwevansvilleedustudent-financial-servicesstudent financial services. Rearrange and rotate pages, add new and changed texts, add new objects, and use other useful tools. When you're done, click Done. You can use the Documents tab to merge, split, lock, or unlock your files.
4
Get your file. Select your file from the documents list and pick your export method. You may save it as a PDF, email it, or upload it to the cloud.
pdfFiller makes dealing with documents a breeze. Create an account to find out!
Uncompromising security for your PDF editing and eSignature needs
Your private information is safe with pdfFiller. We employ end-to-end encryption, secure cloud storage, and advanced access control to protect your documents and maintain regulatory compliance.
How to fill out wwwevansvilleedustudent-financial-servicesstudent financial services

How to fill out wwwevansvilleedustudent-financial-servicesstudent financial services
01
To fill out wwwevansvilleedustudent-financial-servicesstudent financial services, follow these steps:
02
Go to the website wwwevansvilleedustudent-financial-servicesstudent financial services
03
Look for the 'Student Financial Services' section on the website
04
Click on the link or button that says 'Fill out student financial services'
05
You will be redirected to a page where you need to provide your personal information
06
Enter your name, address, contact information, and other required details
07
Fill out any additional forms or documents that are necessary for the financial services
08
Review all the information you have entered to ensure accuracy
09
Submit the completed form and wait for the processing of your request
10
You may be contacted for further verification or clarification if needed
11
Once your request is processed, you will receive a confirmation or further instructions from the student financial services department
Who needs wwwevansvilleedustudent-financial-servicesstudent financial services?
01
Anyone who is a student at wwwevansvilleedustudent-financial-servicesstudent or is planning to enroll in their educational programs may need the student financial services. This includes current and prospective students who require financial assistance or support for tuition fees, scholarships, grants, loans, or other financial matters related to their education. Whether you are an undergraduate, graduate, or professional student, the student financial services can provide valuable information and resources to help you manage your financial obligations and make informed decisions regarding your educational finances.
Fill
form
: Try Risk Free
For pdfFiller’s FAQs
Below is a list of the most common customer questions. If you can’t find an answer to your question, please don’t hesitate to reach out to us.
How do I modify my wwwevansvilleedustudent-financial-servicesstudent financial services in Gmail?
The pdfFiller Gmail add-on lets you create, modify, fill out, and sign wwwevansvilleedustudent-financial-servicesstudent financial services and other documents directly in your email. Click here to get pdfFiller for Gmail. Eliminate tedious procedures and handle papers and eSignatures easily.
Can I sign the wwwevansvilleedustudent-financial-servicesstudent financial services electronically in Chrome?
Yes. By adding the solution to your Chrome browser, you may use pdfFiller to eSign documents while also enjoying all of the PDF editor's capabilities in one spot. Create a legally enforceable eSignature by sketching, typing, or uploading a photo of your handwritten signature using the extension. Whatever option you select, you'll be able to eSign your wwwevansvilleedustudent-financial-servicesstudent financial services in seconds.
Can I edit wwwevansvilleedustudent-financial-servicesstudent financial services on an Android device?
You can. With the pdfFiller Android app, you can edit, sign, and distribute wwwevansvilleedustudent-financial-servicesstudent financial services from anywhere with an internet connection. Take use of the app's mobile capabilities.
What is wwwevansvilleedustudent-financial-servicesstudent financial services?
Student financial services at the University of Evansville provides resources and support for managing student finances, including tuition payments, financial aid, scholarships, and billing.
Who is required to file wwwevansvilleedustudent-financial-servicesstudent financial services?
All students enrolled at the University of Evansville are required to use student financial services to manage their financial accounts.
How to fill out wwwevansvilleedustudent-financial-servicesstudent financial services?
Students can access student financial services through the university's online portal, where they can view their account, make payments, apply for financial aid, and more.
What is the purpose of wwwevansvilleedustudent-financial-servicesstudent financial services?
The purpose of student financial services is to help students understand and manage their finances while attending the University of Evansville.
What information must be reported on wwwevansvilleedustudent-financial-servicesstudent financial services?
Students must report their personal information, funding sources, expenses, and any changes to their financial situation.
Fill out your wwwevansvilleedustudent-financial-servicesstudent financial services online with pdfFiller!
pdfFiller is an end-to-end solution for managing, creating, and editing documents and forms in the cloud. Save time and hassle by preparing your tax forms online.

Wwwevansvilleedustudent-Financial-Servicesstudent Financial Services is not the form you're looking for?Search for another form here.
Relevant keywords
Related Forms
If you believe that this page should be taken down, please follow our DMCA take down process
here
.
This form may include fields for payment information. Data entered in these fields is not covered by PCI DSS compliance.