Get the free Notice of Occupational Disease U.S. Department of Labor and Claim for ...
Show details
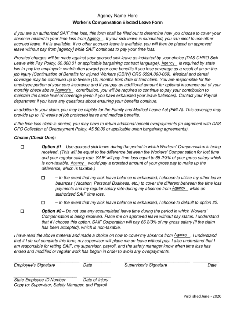
Agency Name Here Workers Compensation Elected Leave Form If you are on authorized SAID time loss, this form shall be filled out to determine how you choose to cover your Agency If your sick leave
We are not affiliated with any brand or entity on this form
Get, Create, Make and Sign notice of occupational disease
Edit your notice of occupational disease form online
Type text, complete fillable fields, insert images, highlight or blackout data for discretion, add comments, and more.
Add your legally-binding signature
Draw or type your signature, upload a signature image, or capture it with your digital camera.
Share your form instantly
Email, fax, or share your notice of occupational disease form via URL. You can also download, print, or export forms to your preferred cloud storage service.
Editing notice of occupational disease online
Use the instructions below to start using our professional PDF editor:
1
Log into your account. It's time to start your free trial.
2
Prepare a file. Use the Add New button. Then upload your file to the system from your device, importing it from internal mail, the cloud, or by adding its URL.
3
Edit notice of occupational disease. Rearrange and rotate pages, add and edit text, and use additional tools. To save changes and return to your Dashboard, click Done. The Documents tab allows you to merge, divide, lock, or unlock files.
4
Save your file. Choose it from the list of records. Then, shift the pointer to the right toolbar and select one of the several exporting methods: save it in multiple formats, download it as a PDF, email it, or save it to the cloud.
Dealing with documents is always simple with pdfFiller. Try it right now
Uncompromising security for your PDF editing and eSignature needs
Your private information is safe with pdfFiller. We employ end-to-end encryption, secure cloud storage, and advanced access control to protect your documents and maintain regulatory compliance.
How to fill out notice of occupational disease
How to fill out notice of occupational disease
01
To fill out a notice of occupational disease, follow these steps:
02
Start by clearly identifying the employer's name and contact information, as well as your name and contact information.
03
Provide details about the nature of your employment, including your job title, the dates of your employment, and any relevant job duties or responsibilities.
04
Describe the symptoms or medical conditions that you believe are related to your occupation. Be as specific as possible and provide any supporting medical documentation or test results.
05
Include information about any potential workplace hazards or exposures that you believe may have contributed to your condition. This could include exposure to chemicals, physical hazards, or repetitive stress injuries.
06
Provide the date on which you first became aware of the connection between your condition and your occupation.
07
Finally, sign and date the notice, and make a copy for your records before submitting it to the appropriate authorities or your employer.
08
Remember to consult with a legal professional or your local labor department for specific guidance on filling out a notice of occupational disease.
Who needs notice of occupational disease?
01
Anyone who has been diagnosed with a medical condition or disease that they believe is related to their occupation needs to file a notice of occupational disease. This includes employees who work in environments with potential workplace hazards or exposures, such as factories, construction sites, laboratories, or offices with chemical or physical hazards. It is important to notify the appropriate authorities and your employer to ensure that proper documentation and measures are taken to address the occupational disease and potentially prevent similar cases in the future.
Fill
form
: Try Risk Free
For pdfFiller’s FAQs
Below is a list of the most common customer questions. If you can’t find an answer to your question, please don’t hesitate to reach out to us.
How can I modify notice of occupational disease without leaving Google Drive?
By combining pdfFiller with Google Docs, you can generate fillable forms directly in Google Drive. No need to leave Google Drive to make edits or sign documents, including notice of occupational disease. Use pdfFiller's features in Google Drive to handle documents on any internet-connected device.
Where do I find notice of occupational disease?
It’s easy with pdfFiller, a comprehensive online solution for professional document management. Access our extensive library of online forms (over 25M fillable forms are available) and locate the notice of occupational disease in a matter of seconds. Open it right away and start customizing it using advanced editing features.
How do I edit notice of occupational disease straight from my smartphone?
The pdfFiller mobile applications for iOS and Android are the easiest way to edit documents on the go. You may get them from the Apple Store and Google Play. More info about the applications here. Install and log in to edit notice of occupational disease.
What is notice of occupational disease?
Notice of occupational disease is a form that must be filed with the appropriate authorities when an individual has been diagnosed with an occupational disease that may be the result of their work environment.
Who is required to file notice of occupational disease?
Employers are required to file notice of occupational disease when an employee is diagnosed with a work-related illness.
How to fill out notice of occupational disease?
Notice of occupational disease can typically be filled out online or on paper, and should include the employee's personal information, details of the illness, and any relevant medical records.
What is the purpose of notice of occupational disease?
The purpose of notice of occupational disease is to document and track work-related illnesses in order to ensure that affected individuals receive proper care and compensation.
What information must be reported on notice of occupational disease?
Information that must be reported on notice of occupational disease includes the employee's name, contact information, medical diagnosis, and details of the work environment that may have contributed to the illness.
Fill out your notice of occupational disease online with pdfFiller!
pdfFiller is an end-to-end solution for managing, creating, and editing documents and forms in the cloud. Save time and hassle by preparing your tax forms online.
Notice Of Occupational Disease is not the form you're looking for?Search for another form here.
Relevant keywords
Related Forms
If you believe that this page should be taken down, please follow our DMCA take down process
here
.
This form may include fields for payment information. Data entered in these fields is not covered by PCI DSS compliance.