
Get the free picsart.comiimage-362668361039201Art contestdity so 1 rule image by vxnmacaron
Show details
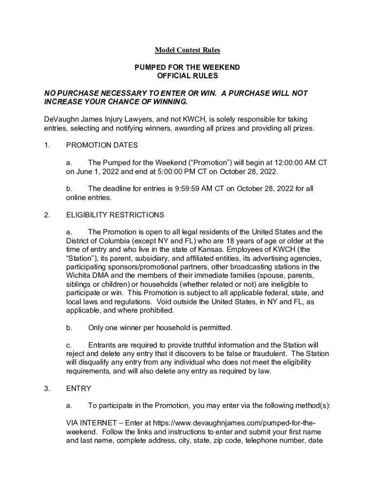
Model Contest Rules PUMPED FOR THE WEEKEND OFFICIAL RULES NO PURCHASE NECESSARY TO ENTER OR WIN. A PURCHASE WILL NOT INCREASE YOUR CHANCE OF WINNING. Vaughn James Injury Lawyers, and not kWh, is solely
We are not affiliated with any brand or entity on this form
Get, Create, Make and Sign picsartcomiimage-362668361039201art contestdity so 1

Edit your picsartcomiimage-362668361039201art contestdity so 1 form online
Type text, complete fillable fields, insert images, highlight or blackout data for discretion, add comments, and more.

Add your legally-binding signature
Draw or type your signature, upload a signature image, or capture it with your digital camera.

Share your form instantly
Email, fax, or share your picsartcomiimage-362668361039201art contestdity so 1 form via URL. You can also download, print, or export forms to your preferred cloud storage service.
How to edit picsartcomiimage-362668361039201art contestdity so 1 online
In order to make advantage of the professional PDF editor, follow these steps:
1
Set up an account. If you are a new user, click Start Free Trial and establish a profile.
2
Prepare a file. Use the Add New button. Then upload your file to the system from your device, importing it from internal mail, the cloud, or by adding its URL.
3
Edit picsartcomiimage-362668361039201art contestdity so 1. Text may be added and replaced, new objects can be included, pages can be rearranged, watermarks and page numbers can be added, and so on. When you're done editing, click Done and then go to the Documents tab to combine, divide, lock, or unlock the file.
4
Save your file. Select it from your list of records. Then, move your cursor to the right toolbar and choose one of the exporting options. You can save it in multiple formats, download it as a PDF, send it by email, or store it in the cloud, among other things.
pdfFiller makes working with documents easier than you could ever imagine. Try it for yourself by creating an account!
Uncompromising security for your PDF editing and eSignature needs
Your private information is safe with pdfFiller. We employ end-to-end encryption, secure cloud storage, and advanced access control to protect your documents and maintain regulatory compliance.
How to fill out picsartcomiimage-362668361039201art contestdity so 1

How to fill out picsartcomiimage-362668361039201art contestdity so 1
01
Create a PicsArt account if you don't have one already
02
Navigate to the art contest page on PicsArt website
03
Read the guidelines and rules of the contest carefully
04
Click on the 'Submit Entry' button
05
Upload your artwork following the specified format and requirements
06
Fill out the required information such as title, description, and tags
07
Submit your entry and wait for the results
Who needs picsartcomiimage-362668361039201art contestdity so 1?
01
Artists who want to showcase their work and participate in a competition
02
People who enjoy creating digital artwork and want to challenge themselves
Fill
form
: Try Risk Free
For pdfFiller’s FAQs
Below is a list of the most common customer questions. If you can’t find an answer to your question, please don’t hesitate to reach out to us.
How do I modify my picsartcomiimage-362668361039201art contestdity so 1 in Gmail?
picsartcomiimage-362668361039201art contestdity so 1 and other documents can be changed, filled out, and signed right in your Gmail inbox. You can use pdfFiller's add-on to do this, as well as other things. When you go to Google Workspace, you can find pdfFiller for Gmail. You should use the time you spend dealing with your documents and eSignatures for more important things, like going to the gym or going to the dentist.
How can I edit picsartcomiimage-362668361039201art contestdity so 1 from Google Drive?
pdfFiller and Google Docs can be used together to make your documents easier to work with and to make fillable forms right in your Google Drive. The integration will let you make, change, and sign documents, like picsartcomiimage-362668361039201art contestdity so 1, without leaving Google Drive. Add pdfFiller's features to Google Drive, and you'll be able to do more with your paperwork on any internet-connected device.
How do I edit picsartcomiimage-362668361039201art contestdity so 1 straight from my smartphone?
You can easily do so with pdfFiller's apps for iOS and Android devices, which can be found at the Apple Store and the Google Play Store, respectively. You can use them to fill out PDFs. We have a website where you can get the app, but you can also get it there. When you install the app, log in, and start editing picsartcomiimage-362668361039201art contestdity so 1, you can start right away.
What is picsartcomiimage-362668361039201art contestdity so 1?
The picsartcomiimage-362668361039201art contestdity so 1 is a form used for contesting city ordinances or rules.
Who is required to file picsartcomiimage-362668361039201art contestdity so 1?
Any individual or organization affected by a city ordinance or rule may be required to file picsartcomiimage-362668361039201art contestdity so 1.
How to fill out picsartcomiimage-362668361039201art contestdity so 1?
To fill out picsartcomiimage-362668361039201art contestdity so 1, you need to provide your personal information, details of the ordinance being contested, and the reasons for contesting it.
What is the purpose of picsartcomiimage-362668361039201art contestdity so 1?
The purpose of picsartcomiimage-362668361039201art contestdity so 1 is to allow individuals or organizations to challenge city ordinances or rules they believe are unfair or unjust.
What information must be reported on picsartcomiimage-362668361039201art contestdity so 1?
On picsartcomiimage-362668361039201art contestdity so 1, you must report your name, contact information, details of the ordinance being contested, reasons for contesting it, and any supporting evidence.
Fill out your picsartcomiimage-362668361039201art contestdity so 1 online with pdfFiller!
pdfFiller is an end-to-end solution for managing, creating, and editing documents and forms in the cloud. Save time and hassle by preparing your tax forms online.

Picsartcomiimage-362668361039201art Contestdity So 1 is not the form you're looking for?Search for another form here.
Relevant keywords
Related Forms
If you believe that this page should be taken down, please follow our DMCA take down process
here
.
This form may include fields for payment information. Data entered in these fields is not covered by PCI DSS compliance.