Get the free efile.fara.govdocs6682-Short-Form-20190528-8Received by NSD/FARA Registration Unit 0...
Show details
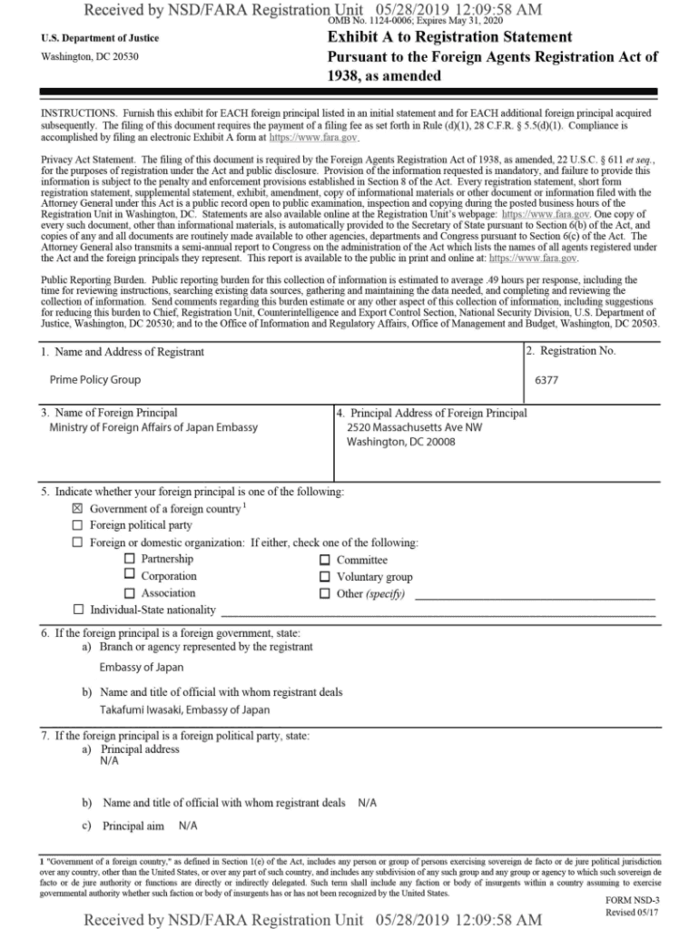
Received by NSW/FAR Registration Unit05/28/2019 12:09:58 AM OMB No. 11240006; Expires May 31, 2020Exhibit A to Registration Statement Pursuant to the Foreign Agents Registration Act of 1938, as amended.
We are not affiliated with any brand or entity on this form
Get, Create, Make and Sign efilefaragovdocs6682-short-form-20190528-8received by nsdfara registration
Edit your efilefaragovdocs6682-short-form-20190528-8received by nsdfara registration form online
Type text, complete fillable fields, insert images, highlight or blackout data for discretion, add comments, and more.
Add your legally-binding signature
Draw or type your signature, upload a signature image, or capture it with your digital camera.
Share your form instantly
Email, fax, or share your efilefaragovdocs6682-short-form-20190528-8received by nsdfara registration form via URL. You can also download, print, or export forms to your preferred cloud storage service.
How to edit efilefaragovdocs6682-short-form-20190528-8received by nsdfara registration online
To use the professional PDF editor, follow these steps:
1
Register the account. Begin by clicking Start Free Trial and create a profile if you are a new user.
2
Prepare a file. Use the Add New button to start a new project. Then, using your device, upload your file to the system by importing it from internal mail, the cloud, or adding its URL.
3
Edit efilefaragovdocs6682-short-form-20190528-8received by nsdfara registration. Text may be added and replaced, new objects can be included, pages can be rearranged, watermarks and page numbers can be added, and so on. When you're done editing, click Done and then go to the Documents tab to combine, divide, lock, or unlock the file.
4
Get your file. Select the name of your file in the docs list and choose your preferred exporting method. You can download it as a PDF, save it in another format, send it by email, or transfer it to the cloud.
pdfFiller makes working with documents easier than you could ever imagine. Register for an account and see for yourself!
Uncompromising security for your PDF editing and eSignature needs
Your private information is safe with pdfFiller. We employ end-to-end encryption, secure cloud storage, and advanced access control to protect your documents and maintain regulatory compliance.
How to fill out efilefaragovdocs6682-short-form-20190528-8received by nsdfara registration
How to fill out efilefaragovdocs6682-short-form-20190528-8received by nsdfara registration
01
Gather all necessary information and documents required for the form
02
Access the efilefara.gov website
03
Select the form 6682-short-form-20190528-8received by nsdfara registration
04
Fill out the form accurately and completely with the required information
05
Review the form for any errors or missing information
06
Submit the form electronically
Who needs efilefaragovdocs6682-short-form-20190528-8received by nsdfara registration?
01
Any individual or entity who is required to register with NSDFARA and has received form 6682-short-form-20190528-8
Fill
form
: Try Risk Free
For pdfFiller’s FAQs
Below is a list of the most common customer questions. If you can’t find an answer to your question, please don’t hesitate to reach out to us.
How can I modify efilefaragovdocs6682-short-form-20190528-8received by nsdfara registration without leaving Google Drive?
It is possible to significantly enhance your document management and form preparation by combining pdfFiller with Google Docs. This will allow you to generate papers, amend them, and sign them straight from your Google Drive. Use the add-on to convert your efilefaragovdocs6682-short-form-20190528-8received by nsdfara registration into a dynamic fillable form that can be managed and signed using any internet-connected device.
Can I create an electronic signature for the efilefaragovdocs6682-short-form-20190528-8received by nsdfara registration in Chrome?
Yes, you can. With pdfFiller, you not only get a feature-rich PDF editor and fillable form builder but a powerful e-signature solution that you can add directly to your Chrome browser. Using our extension, you can create your legally-binding eSignature by typing, drawing, or capturing a photo of your signature using your webcam. Choose whichever method you prefer and eSign your efilefaragovdocs6682-short-form-20190528-8received by nsdfara registration in minutes.
Can I create an eSignature for the efilefaragovdocs6682-short-form-20190528-8received by nsdfara registration in Gmail?
You may quickly make your eSignature using pdfFiller and then eSign your efilefaragovdocs6682-short-form-20190528-8received by nsdfara registration right from your mailbox using pdfFiller's Gmail add-on. Please keep in mind that in order to preserve your signatures and signed papers, you must first create an account.
What is efilefaragovdocs6682-short-form-20190528-8received by nsdfara registration?
This form is a short registration form that must be filed with the NSDFARA registration system.
Who is required to file efilefaragovdocs6682-short-form-20190528-8received by nsdfara registration?
Any entity or individual who is engaging in activities that fall under the Foreign Agents Registration Act (FARA) must file this registration form.
How to fill out efilefaragovdocs6682-short-form-20190528-8received by nsdfara registration?
The form can be filled out online through the NSDFARA registration system by providing the required information about the activities and relationships that fall under FARA.
What is the purpose of efilefaragovdocs6682-short-form-20190528-8received by nsdfara registration?
The purpose of this registration form is to provide transparency about activities conducted on behalf of a foreign principal to the U.S. government and the public.
What information must be reported on efilefaragovdocs6682-short-form-20190528-8received by nsdfara registration?
The form requires information about the foreign principal, the activities and relationships that trigger FARA registration, as well as any lobbying or public relations activities conducted on their behalf.
Fill out your efilefaragovdocs6682-short-form-20190528-8received by nsdfara registration online with pdfFiller!
pdfFiller is an end-to-end solution for managing, creating, and editing documents and forms in the cloud. Save time and hassle by preparing your tax forms online.
efilefaragovdocs6682-Short-Form-20190528-8received By Nsdfara Registration is not the form you're looking for?Search for another form here.
Relevant keywords
Related Forms
If you believe that this page should be taken down, please follow our DMCA take down process
here
.
This form may include fields for payment information. Data entered in these fields is not covered by PCI DSS compliance.