Get the free www.lander.edu sites default22GPLS Lander University Financial Aid Office
Show details
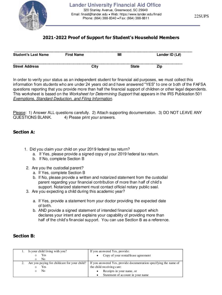
Lander University Financial Aid Office 320 Stanley Avenue, Greenwood, SC 29649 Email: finaid@lander.edu Web: https://www.lander.edu/finaid Phone: (864) 3888340 Fax: (864) 388881122SUPS20212022 Proof
We are not affiliated with any brand or entity on this form
Get, Create, Make and Sign wwwlanderedu sites default22gpls lander
Edit your wwwlanderedu sites default22gpls lander form online
Type text, complete fillable fields, insert images, highlight or blackout data for discretion, add comments, and more.
Add your legally-binding signature
Draw or type your signature, upload a signature image, or capture it with your digital camera.
Share your form instantly
Email, fax, or share your wwwlanderedu sites default22gpls lander form via URL. You can also download, print, or export forms to your preferred cloud storage service.
Editing wwwlanderedu sites default22gpls lander online
In order to make advantage of the professional PDF editor, follow these steps below:
1
Log in to your account. Start Free Trial and register a profile if you don't have one yet.
2
Simply add a document. Select Add New from your Dashboard and import a file into the system by uploading it from your device or importing it via the cloud, online, or internal mail. Then click Begin editing.
3
Edit wwwlanderedu sites default22gpls lander. Rearrange and rotate pages, insert new and alter existing texts, add new objects, and take advantage of other helpful tools. Click Done to apply changes and return to your Dashboard. Go to the Documents tab to access merging, splitting, locking, or unlocking functions.
4
Get your file. Select the name of your file in the docs list and choose your preferred exporting method. You can download it as a PDF, save it in another format, send it by email, or transfer it to the cloud.
Dealing with documents is always simple with pdfFiller.
Uncompromising security for your PDF editing and eSignature needs
Your private information is safe with pdfFiller. We employ end-to-end encryption, secure cloud storage, and advanced access control to protect your documents and maintain regulatory compliance.
How to fill out wwwlanderedu sites default22gpls lander
How to fill out wwwlanderedu sites default22gpls lander
01
Go to www.lander.edu sites default22gpls lander website.
02
Click on the 'Fill Out' button or section on the website.
03
Enter your personal information such as name, contact details, and any other required details.
04
Submit the form once all necessary fields are filled out correctly.
Who needs wwwlanderedu sites default22gpls lander?
01
Individuals who are interested in accessing or utilizing the services provided on the www.lander.edu sites default22gpls lander website.
02
Companies or organizations looking to collect information from website visitors or potential customers.
Fill
form
: Try Risk Free
For pdfFiller’s FAQs
Below is a list of the most common customer questions. If you can’t find an answer to your question, please don’t hesitate to reach out to us.
How can I get wwwlanderedu sites default22gpls lander?
The pdfFiller premium subscription gives you access to a large library of fillable forms (over 25 million fillable templates) that you can download, fill out, print, and sign. In the library, you'll have no problem discovering state-specific wwwlanderedu sites default22gpls lander and other forms. Find the template you want and tweak it with powerful editing tools.
Can I sign the wwwlanderedu sites default22gpls lander electronically in Chrome?
Yes. By adding the solution to your Chrome browser, you may use pdfFiller to eSign documents while also enjoying all of the PDF editor's capabilities in one spot. Create a legally enforceable eSignature by sketching, typing, or uploading a photo of your handwritten signature using the extension. Whatever option you select, you'll be able to eSign your wwwlanderedu sites default22gpls lander in seconds.
How do I edit wwwlanderedu sites default22gpls lander on an iOS device?
Create, modify, and share wwwlanderedu sites default22gpls lander using the pdfFiller iOS app. Easy to install from the Apple Store. You may sign up for a free trial and then purchase a membership.
What is wwwlanderedu sites default22gpls lander?
The default22gpls lander on wwwlanderedu sites is a landing page used for collecting information or directing visitors to specific pages.
Who is required to file wwwlanderedu sites default22gpls lander?
Anyone who owns or manages a website may be required to file the default22gpls lander on wwwlanderedu sites, depending on the regulations.
How to fill out wwwlanderedu sites default22gpls lander?
To fill out the default22gpls lander on wwwlanderedu sites, you typically need to provide information about the purpose of the landing page, any tracking codes or scripts used, and contact information.
What is the purpose of wwwlanderedu sites default22gpls lander?
The purpose of the default22gpls lander on wwwlanderedu sites is to collect data, track traffic, and provide a seamless user experience.
What information must be reported on wwwlanderedu sites default22gpls lander?
The information reported on the default22gpls lander may include contact details, data collection practices, and tracking technology used.
Fill out your wwwlanderedu sites default22gpls lander online with pdfFiller!
pdfFiller is an end-to-end solution for managing, creating, and editing documents and forms in the cloud. Save time and hassle by preparing your tax forms online.
Wwwlanderedu Sites default22gpls Lander is not the form you're looking for?Search for another form here.
Relevant keywords
Related Forms
If you believe that this page should be taken down, please follow our DMCA take down process
here
.
This form may include fields for payment information. Data entered in these fields is not covered by PCI DSS compliance.