
Get the free Public Procurement Review Board Office of Personal Service Contract ...
Show details
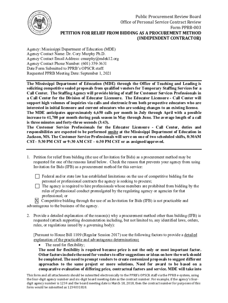
Public Procurement Review Board Office of Personal Service Contract Review Form PPRB003 PETITION FOR RELIEF FROM BIDDING AS A PROCUREMENT METHOD (INDEPENDENT CONTRACTOR) Agency: Mississippi Department
We are not affiliated with any brand or entity on this form
Get, Create, Make and Sign public procurement review board

Edit your public procurement review board form online
Type text, complete fillable fields, insert images, highlight or blackout data for discretion, add comments, and more.

Add your legally-binding signature
Draw or type your signature, upload a signature image, or capture it with your digital camera.

Share your form instantly
Email, fax, or share your public procurement review board form via URL. You can also download, print, or export forms to your preferred cloud storage service.
How to edit public procurement review board online
In order to make advantage of the professional PDF editor, follow these steps below:
1
Log in. Click Start Free Trial and create a profile if necessary.
2
Upload a file. Select Add New on your Dashboard and upload a file from your device or import it from the cloud, online, or internal mail. Then click Edit.
3
Edit public procurement review board. Rearrange and rotate pages, add and edit text, and use additional tools. To save changes and return to your Dashboard, click Done. The Documents tab allows you to merge, divide, lock, or unlock files.
4
Save your file. Select it from your list of records. Then, move your cursor to the right toolbar and choose one of the exporting options. You can save it in multiple formats, download it as a PDF, send it by email, or store it in the cloud, among other things.
It's easier to work with documents with pdfFiller than you can have believed. Sign up for a free account to view.
Uncompromising security for your PDF editing and eSignature needs
Your private information is safe with pdfFiller. We employ end-to-end encryption, secure cloud storage, and advanced access control to protect your documents and maintain regulatory compliance.
How to fill out public procurement review board

How to fill out public procurement review board
01
Obtain the necessary forms and information from the public procurement review board.
02
Fill out the forms accurately and completely, ensuring all required details are provided.
03
Double-check the information for accuracy and completeness before submitting the forms.
04
Attach any supporting documents or evidence required for the review process.
05
Submit the completed forms and documents to the public procurement review board within the specified deadline.
Who needs public procurement review board?
01
Businesses and organizations participating in public procurement processes.
02
Government agencies overseeing public procurement activities.
03
Individuals interested in ensuring transparency and fairness in public procurement.
Fill
form
: Try Risk Free
For pdfFiller’s FAQs
Below is a list of the most common customer questions. If you can’t find an answer to your question, please don’t hesitate to reach out to us.
How do I execute public procurement review board online?
pdfFiller has made it easy to fill out and sign public procurement review board. You can use the solution to change and move PDF content, add fields that can be filled in, and sign the document electronically. Start a free trial of pdfFiller, the best tool for editing and filling in documents.
How do I make edits in public procurement review board without leaving Chrome?
Add pdfFiller Google Chrome Extension to your web browser to start editing public procurement review board and other documents directly from a Google search page. The service allows you to make changes in your documents when viewing them in Chrome. Create fillable documents and edit existing PDFs from any internet-connected device with pdfFiller.
How do I edit public procurement review board straight from my smartphone?
The pdfFiller apps for iOS and Android smartphones are available in the Apple Store and Google Play Store. You may also get the program at https://edit-pdf-ios-android.pdffiller.com/. Open the web app, sign in, and start editing public procurement review board.
What is public procurement review board?
The public procurement review board is a government entity responsible for reviewing and monitoring public procurement processes to ensure transparency and accountability.
Who is required to file public procurement review board?
All government agencies and entities involved in public procurement are required to file public procurement review board.
How to fill out public procurement review board?
The public procurement review board can be filled out online or in person, following the guidelines provided by the government.
What is the purpose of public procurement review board?
The purpose of public procurement review board is to ensure fair competition, prevent corruption, and promote good governance in public procurement.
What information must be reported on public procurement review board?
Information such as details of the procurement process, vendors involved, contract terms, and total cost must be reported on the public procurement review board.
Fill out your public procurement review board online with pdfFiller!
pdfFiller is an end-to-end solution for managing, creating, and editing documents and forms in the cloud. Save time and hassle by preparing your tax forms online.

Public Procurement Review Board is not the form you're looking for?Search for another form here.
Relevant keywords
Related Forms
If you believe that this page should be taken down, please follow our DMCA take down process
here
.
This form may include fields for payment information. Data entered in these fields is not covered by PCI DSS compliance.