Get the free ecornell.cornell.eduexecutive-leadershipExecutive Leadership Certificate Training Pr...
Show details
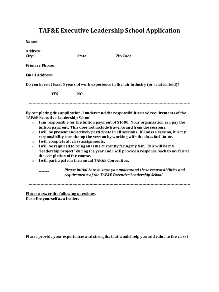
TAKE Executive Leadership School ApplicationName:Address:City:State:Zip Code:Primary Phone:Email Address:Do you have at least 5 years of work experience in the fair industry (or related field)? Snowy
We are not affiliated with any brand or entity on this form
Get, Create, Make and Sign ecornellcornelleduexecutive-leadershipexecutive leadership certificate training
Edit your ecornellcornelleduexecutive-leadershipexecutive leadership certificate training form online
Type text, complete fillable fields, insert images, highlight or blackout data for discretion, add comments, and more.
Add your legally-binding signature
Draw or type your signature, upload a signature image, or capture it with your digital camera.
Share your form instantly
Email, fax, or share your ecornellcornelleduexecutive-leadershipexecutive leadership certificate training form via URL. You can also download, print, or export forms to your preferred cloud storage service.
Editing ecornellcornelleduexecutive-leadershipexecutive leadership certificate training online
Here are the steps you need to follow to get started with our professional PDF editor:
1
Log in to your account. Start Free Trial and sign up a profile if you don't have one.
2
Prepare a file. Use the Add New button to start a new project. Then, using your device, upload your file to the system by importing it from internal mail, the cloud, or adding its URL.
3
Edit ecornellcornelleduexecutive-leadershipexecutive leadership certificate training. Rearrange and rotate pages, insert new and alter existing texts, add new objects, and take advantage of other helpful tools. Click Done to apply changes and return to your Dashboard. Go to the Documents tab to access merging, splitting, locking, or unlocking functions.
4
Save your file. Select it in the list of your records. Then, move the cursor to the right toolbar and choose one of the available exporting methods: save it in multiple formats, download it as a PDF, send it by email, or store it in the cloud.
With pdfFiller, dealing with documents is always straightforward. Try it right now!
Uncompromising security for your PDF editing and eSignature needs
Your private information is safe with pdfFiller. We employ end-to-end encryption, secure cloud storage, and advanced access control to protect your documents and maintain regulatory compliance.
How to fill out ecornellcornelleduexecutive-leadershipexecutive leadership certificate training
How to fill out ecornellcornelleduexecutive-leadershipexecutive leadership certificate training
01
Visit the eCornell website at ecornell.cornell.edu
02
Navigate to the Executive Leadership section
03
Click on the Executive Leadership Certificate Training program
04
Review the program details and requirements
05
Click on the 'Enroll Now' button
06
Fill out the registration form with your personal information
07
Submit payment for the training program
08
Begin your coursework and complete all required modules
09
Graduation from the program upon successful completion
Who needs ecornellcornelleduexecutive-leadershipexecutive leadership certificate training?
01
Professionals who are looking to enhance their leadership skills
02
Managers seeking to advance their careers in executive positions
03
Entrepreneurs who want to develop their strategic leadership abilities
04
Individuals who want to stay competitive in the business world
Fill
form
: Try Risk Free
For pdfFiller’s FAQs
Below is a list of the most common customer questions. If you can’t find an answer to your question, please don’t hesitate to reach out to us.
How do I modify my ecornellcornelleduexecutive-leadershipexecutive leadership certificate training in Gmail?
You may use pdfFiller's Gmail add-on to change, fill out, and eSign your ecornellcornelleduexecutive-leadershipexecutive leadership certificate training as well as other documents directly in your inbox by using the pdfFiller add-on for Gmail. pdfFiller for Gmail may be found on the Google Workspace Marketplace. Use the time you would have spent dealing with your papers and eSignatures for more vital tasks instead.
How can I edit ecornellcornelleduexecutive-leadershipexecutive leadership certificate training from Google Drive?
You can quickly improve your document management and form preparation by integrating pdfFiller with Google Docs so that you can create, edit and sign documents directly from your Google Drive. The add-on enables you to transform your ecornellcornelleduexecutive-leadershipexecutive leadership certificate training into a dynamic fillable form that you can manage and eSign from any internet-connected device.
How do I complete ecornellcornelleduexecutive-leadershipexecutive leadership certificate training on an Android device?
Complete your ecornellcornelleduexecutive-leadershipexecutive leadership certificate training and other papers on your Android device by using the pdfFiller mobile app. The program includes all of the necessary document management tools, such as editing content, eSigning, annotating, sharing files, and so on. You will be able to view your papers at any time as long as you have an internet connection.
What is ecornellcornelleduexecutive-leadershipexecutive leadership certificate training?
Executive Leadership Certificate Training offered by eCornell focuses on developing key leadership skills for executives.
Who is required to file ecornellcornelleduexecutive-leadershipexecutive leadership certificate training?
Executives looking to enhance their leadership skills are required to enroll in the Executive Leadership Certificate Training.
How to fill out ecornellcornelleduexecutive-leadershipexecutive leadership certificate training?
To enroll in the Executive Leadership Certificate Training, individuals can visit the eCornell website and follow the registration process.
What is the purpose of ecornellcornelleduexecutive-leadershipexecutive leadership certificate training?
The purpose of the Executive Leadership Certificate Training is to develop essential leadership competencies and enhance executive skills.
What information must be reported on ecornellcornelleduexecutive-leadershipexecutive leadership certificate training?
Participants are required to report their progress, completion of assignments, and participation in leadership exercises.
Fill out your ecornellcornelleduexecutive-leadershipexecutive leadership certificate training online with pdfFiller!
pdfFiller is an end-to-end solution for managing, creating, and editing documents and forms in the cloud. Save time and hassle by preparing your tax forms online.
Ecornellcornelleduexecutive-Leadershipexecutive Leadership Certificate Training is not the form you're looking for?Search for another form here.
Relevant keywords
Related Forms
If you believe that this page should be taken down, please follow our DMCA take down process
here
.
This form may include fields for payment information. Data entered in these fields is not covered by PCI DSS compliance.