
Get the free casetext.comregulationnew-jersey-administrativeSection 6A:23A-6.12 - District board ...
Show details
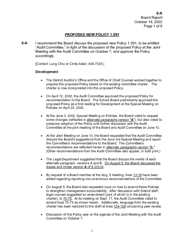
6A Board Report October 14, 2002-Page 1 of 6 PROPOSED NEW POLICY 1.091 6AI recommend the Board discuss the proposed new Policy 1.091, to be entitled Audit Committee, in light of the discussion of
We are not affiliated with any brand or entity on this form
Get, Create, Make and Sign casetextcomregulationnew-jersey-administrativesection 6a23a-612 - district

Edit your casetextcomregulationnew-jersey-administrativesection 6a23a-612 - district form online
Type text, complete fillable fields, insert images, highlight or blackout data for discretion, add comments, and more.

Add your legally-binding signature
Draw or type your signature, upload a signature image, or capture it with your digital camera.

Share your form instantly
Email, fax, or share your casetextcomregulationnew-jersey-administrativesection 6a23a-612 - district form via URL. You can also download, print, or export forms to your preferred cloud storage service.
Editing casetextcomregulationnew-jersey-administrativesection 6a23a-612 - district online
Here are the steps you need to follow to get started with our professional PDF editor:
1
Log in to your account. Click on Start Free Trial and register a profile if you don't have one.
2
Upload a file. Select Add New on your Dashboard and upload a file from your device or import it from the cloud, online, or internal mail. Then click Edit.
3
Edit casetextcomregulationnew-jersey-administrativesection 6a23a-612 - district. Text may be added and replaced, new objects can be included, pages can be rearranged, watermarks and page numbers can be added, and so on. When you're done editing, click Done and then go to the Documents tab to combine, divide, lock, or unlock the file.
4
Save your file. Choose it from the list of records. Then, shift the pointer to the right toolbar and select one of the several exporting methods: save it in multiple formats, download it as a PDF, email it, or save it to the cloud.
With pdfFiller, it's always easy to work with documents. Check it out!
Uncompromising security for your PDF editing and eSignature needs
Your private information is safe with pdfFiller. We employ end-to-end encryption, secure cloud storage, and advanced access control to protect your documents and maintain regulatory compliance.
How to fill out casetextcomregulationnew-jersey-administrativesection 6a23a-612 - district

How to fill out casetextcomregulationnew-jersey-administrativesection 6a23a-612 - district
01
Go to the website casetext.com
02
Navigate to the 'Regulations' section
03
Select 'New Jersey Administrative Regulations'
04
Locate section 6a23a-612 - district
05
Fill out the required fields as per the instructions provided
Who needs casetextcomregulationnew-jersey-administrativesection 6a23a-612 - district?
01
Individuals or businesses operating in New Jersey who need to understand or comply with the regulations outlined in section 6a23a-612 - district
Fill
form
: Try Risk Free
For pdfFiller’s FAQs
Below is a list of the most common customer questions. If you can’t find an answer to your question, please don’t hesitate to reach out to us.
How do I edit casetextcomregulationnew-jersey-administrativesection 6a23a-612 - district in Chrome?
Get and add pdfFiller Google Chrome Extension to your browser to edit, fill out and eSign your casetextcomregulationnew-jersey-administrativesection 6a23a-612 - district, which you can open in the editor directly from a Google search page in just one click. Execute your fillable documents from any internet-connected device without leaving Chrome.
How do I edit casetextcomregulationnew-jersey-administrativesection 6a23a-612 - district straight from my smartphone?
You can do so easily with pdfFiller’s applications for iOS and Android devices, which can be found at the Apple Store and Google Play Store, respectively. Alternatively, you can get the app on our web page: https://edit-pdf-ios-android.pdffiller.com/. Install the application, log in, and start editing casetextcomregulationnew-jersey-administrativesection 6a23a-612 - district right away.
How do I fill out casetextcomregulationnew-jersey-administrativesection 6a23a-612 - district using my mobile device?
You can quickly make and fill out legal forms with the help of the pdfFiller app on your phone. Complete and sign casetextcomregulationnew-jersey-administrativesection 6a23a-612 - district and other documents on your mobile device using the application. If you want to learn more about how the PDF editor works, go to pdfFiller.com.
What is casetextcomregulationnew-jersey-administrativesection 6a23a-612 - district?
The casetextcomregulationnew-jersey-administrativesection 6a23a-612 - district is a regulation pertaining to district administration in New Jersey.
Who is required to file casetextcomregulationnew-jersey-administrativesection 6a23a-612 - district?
All districts in New Jersey are required to file casetextcomregulationnew-jersey-administrativesection 6a23a-612.
How to fill out casetextcomregulationnew-jersey-administrativesection 6a23a-612 - district?
To fill out casetextcomregulationnew-jersey-administrativesection 6a23a-612, districts must provide the necessary information as outlined in the regulation.
What is the purpose of casetextcomregulationnew-jersey-administrativesection 6a23a-612 - district?
The purpose of casetextcomregulationnew-jersey-administrativesection 6a23a-612 is to ensure proper administration and compliance within New Jersey districts.
What information must be reported on casetextcomregulationnew-jersey-administrativesection 6a23a-612 - district?
The information to be reported on casetextcomregulationnew-jersey-administrativesection 6a23a-612 includes administrative details and compliance data.
Fill out your casetextcomregulationnew-jersey-administrativesection 6a23a-612 - district online with pdfFiller!
pdfFiller is an end-to-end solution for managing, creating, and editing documents and forms in the cloud. Save time and hassle by preparing your tax forms online.

Casetextcomregulationnew-Jersey-Administrativesection 6A23A-612 - District is not the form you're looking for?Search for another form here.
Relevant keywords
Related Forms
If you believe that this page should be taken down, please follow our DMCA take down process
here
.
This form may include fields for payment information. Data entered in these fields is not covered by PCI DSS compliance.