Get the free North Penn School District Tax Bill Installment Payment Option
Show details
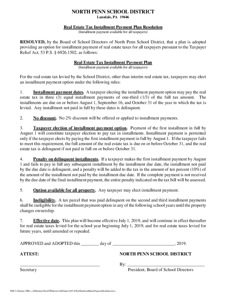
NORTH PENN SCHOOL DISTRICT Lawndale, PA 19446Real Estate Tax Installment Payment Plan Resolution (Installment payment available for all taxpayers)RESOLVED, by the Board of School Directors of North
We are not affiliated with any brand or entity on this form
Get, Create, Make and Sign north penn school district
Edit your north penn school district form online
Type text, complete fillable fields, insert images, highlight or blackout data for discretion, add comments, and more.
Add your legally-binding signature
Draw or type your signature, upload a signature image, or capture it with your digital camera.
Share your form instantly
Email, fax, or share your north penn school district form via URL. You can also download, print, or export forms to your preferred cloud storage service.
How to edit north penn school district online
Follow the steps down below to use a professional PDF editor:
1
Register the account. Begin by clicking Start Free Trial and create a profile if you are a new user.
2
Upload a document. Select Add New on your Dashboard and transfer a file into the system in one of the following ways: by uploading it from your device or importing from the cloud, web, or internal mail. Then, click Start editing.
3
Edit north penn school district. Text may be added and replaced, new objects can be included, pages can be rearranged, watermarks and page numbers can be added, and so on. When you're done editing, click Done and then go to the Documents tab to combine, divide, lock, or unlock the file.
4
Save your file. Select it from your list of records. Then, move your cursor to the right toolbar and choose one of the exporting options. You can save it in multiple formats, download it as a PDF, send it by email, or store it in the cloud, among other things.
pdfFiller makes working with documents easier than you could ever imagine. Register for an account and see for yourself!
Uncompromising security for your PDF editing and eSignature needs
Your private information is safe with pdfFiller. We employ end-to-end encryption, secure cloud storage, and advanced access control to protect your documents and maintain regulatory compliance.
How to fill out north penn school district
How to fill out north penn school district
01
Obtain the necessary enrollment forms from the North Penn School District website or the school office.
02
Complete all required personal information, including student and guardian details.
03
Provide any necessary documentation such as proof of residency, birth certificates, and previous academic records.
04
Submit the completed forms and documentation to the appropriate school office or enrollment office.
05
Wait for confirmation of enrollment and follow any additional instructions provided by the school district.
Who needs north penn school district?
01
Families with school-aged children residing in the North Penn School District boundaries.
02
Students looking to transfer into the North Penn School District from another district or homeschooling.
Fill
form
: Try Risk Free
For pdfFiller’s FAQs
Below is a list of the most common customer questions. If you can’t find an answer to your question, please don’t hesitate to reach out to us.
How can I modify north penn school district without leaving Google Drive?
You can quickly improve your document management and form preparation by integrating pdfFiller with Google Docs so that you can create, edit and sign documents directly from your Google Drive. The add-on enables you to transform your north penn school district into a dynamic fillable form that you can manage and eSign from any internet-connected device.
Where do I find north penn school district?
The pdfFiller premium subscription gives you access to a large library of fillable forms (over 25 million fillable templates) that you can download, fill out, print, and sign. In the library, you'll have no problem discovering state-specific north penn school district and other forms. Find the template you want and tweak it with powerful editing tools.
How do I fill out north penn school district on an Android device?
On an Android device, use the pdfFiller mobile app to finish your north penn school district. The program allows you to execute all necessary document management operations, such as adding, editing, and removing text, signing, annotating, and more. You only need a smartphone and an internet connection.
What is north penn school district?
North Penn School District is a public school district located in Montgomery County, Pennsylvania.
Who is required to file north penn school district?
All residents within the North Penn School District boundaries are required to file.
How to fill out north penn school district?
You can fill out the North Penn School District forms online or by mail.
What is the purpose of north penn school district?
The purpose of the North Penn School District is to provide education to students within its boundaries.
What information must be reported on north penn school district?
You must report your residency status, number of dependents, and income information on the North Penn School District forms.
Fill out your north penn school district online with pdfFiller!
pdfFiller is an end-to-end solution for managing, creating, and editing documents and forms in the cloud. Save time and hassle by preparing your tax forms online.
North Penn School District is not the form you're looking for?Search for another form here.
Relevant keywords
Related Forms
If you believe that this page should be taken down, please follow our DMCA take down process
here
.
This form may include fields for payment information. Data entered in these fields is not covered by PCI DSS compliance.