Get the free ARO CUTTACK AGNIVEER RECRUITMENT RALLY (FOR MEN) FROM 07 OCT TO 14 OCT ... - joinind...
Show details
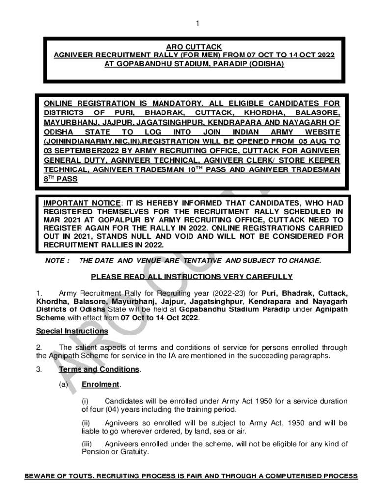
1
ARE CUTTACK
GIVER RECRUITMENT RALLY (FOR MEN) FROM 07 OCT TO 14 OCT 2022
AT GOPABANDHU STADIUM, PARA DIP (ODISHA)ONLINE REGISTRATION IS MANDATORY. ALL ELIGIBLE CANDIDATES FOR
DISTRICTS OF PURE,
We are not affiliated with any brand or entity on this form
Get, Create, Make and Sign aro cuttack agniveer recruitment
Edit your aro cuttack agniveer recruitment form online
Type text, complete fillable fields, insert images, highlight or blackout data for discretion, add comments, and more.
Add your legally-binding signature
Draw or type your signature, upload a signature image, or capture it with your digital camera.
Share your form instantly
Email, fax, or share your aro cuttack agniveer recruitment form via URL. You can also download, print, or export forms to your preferred cloud storage service.
How to edit aro cuttack agniveer recruitment online
To use the services of a skilled PDF editor, follow these steps below:
1
Set up an account. If you are a new user, click Start Free Trial and establish a profile.
2
Simply add a document. Select Add New from your Dashboard and import a file into the system by uploading it from your device or importing it via the cloud, online, or internal mail. Then click Begin editing.
3
Edit aro cuttack agniveer recruitment. Add and replace text, insert new objects, rearrange pages, add watermarks and page numbers, and more. Click Done when you are finished editing and go to the Documents tab to merge, split, lock or unlock the file.
4
Save your file. Choose it from the list of records. Then, shift the pointer to the right toolbar and select one of the several exporting methods: save it in multiple formats, download it as a PDF, email it, or save it to the cloud.
With pdfFiller, dealing with documents is always straightforward.
Uncompromising security for your PDF editing and eSignature needs
Your private information is safe with pdfFiller. We employ end-to-end encryption, secure cloud storage, and advanced access control to protect your documents and maintain regulatory compliance.
How to fill out aro cuttack agniveer recruitment
How to fill out aro cuttack agniveer recruitment
01
Visit the official website of ARO Cuttack Agniveer Recruitment
02
Click on the 'Apply Now' button
03
Fill out the online application form with accurate details
04
Upload required documents such as resume, educational certificates, and photograph
05
Review the information provided before submitting the application
06
Pay the application fee, if applicable
07
Submit the application form
Who needs aro cuttack agniveer recruitment?
01
Individuals who are interested in working for ARO Cuttack Agniveer
02
Candidates looking for job opportunities in the field of recruitment
Fill
form
: Try Risk Free
For pdfFiller’s FAQs
Below is a list of the most common customer questions. If you can’t find an answer to your question, please don’t hesitate to reach out to us.
How do I modify my aro cuttack agniveer recruitment in Gmail?
You can use pdfFiller’s add-on for Gmail in order to modify, fill out, and eSign your aro cuttack agniveer recruitment along with other documents right in your inbox. Find pdfFiller for Gmail in Google Workspace Marketplace. Use time you spend on handling your documents and eSignatures for more important things.
How can I send aro cuttack agniveer recruitment for eSignature?
Once you are ready to share your aro cuttack agniveer recruitment, you can easily send it to others and get the eSigned document back just as quickly. Share your PDF by email, fax, text message, or USPS mail, or notarize it online. You can do all of this without ever leaving your account.
How do I complete aro cuttack agniveer recruitment on an iOS device?
Get and install the pdfFiller application for iOS. Next, open the app and log in or create an account to get access to all of the solution’s editing features. To open your aro cuttack agniveer recruitment, upload it from your device or cloud storage, or enter the document URL. After you complete all of the required fields within the document and eSign it (if that is needed), you can save it or share it with others.
What is aro cuttack agniveer recruitment?
Aro Cuttack Agniveer recruitment is a process of hiring individuals for specific job positions in Cuttack by Agniveer organization.
Who is required to file aro cuttack agniveer recruitment?
Individuals who are interested in applying for job positions in Aro Cuttack Agniveer recruitment are required to file the application.
How to fill out aro cuttack agniveer recruitment?
To fill out Aro Cuttack Agniveer recruitment, individuals need to visit the official website of Agniveer organization, create an account, and submit the required information and documents as per the job position.
What is the purpose of aro cuttack agniveer recruitment?
The purpose of Aro Cuttack Agniveer recruitment is to hire qualified individuals for job positions within the organization and to ensure a smooth recruitment process.
What information must be reported on aro cuttack agniveer recruitment?
Information such as personal details, educational qualifications, work experience, and other relevant details must be reported on Aro Cuttack Agniveer recruitment application.
Fill out your aro cuttack agniveer recruitment online with pdfFiller!
pdfFiller is an end-to-end solution for managing, creating, and editing documents and forms in the cloud. Save time and hassle by preparing your tax forms online.
Aro Cuttack Agniveer Recruitment is not the form you're looking for?Search for another form here.
Relevant keywords
Related Forms
If you believe that this page should be taken down, please follow our DMCA take down process
here
.
This form may include fields for payment information. Data entered in these fields is not covered by PCI DSS compliance.