Get the free pdffiller
Show details
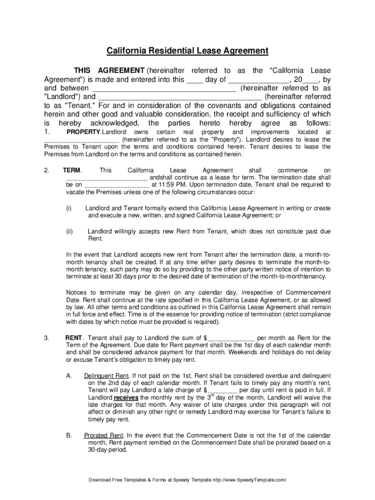
California Residential Lease Agreement THIS AGREEMENT (hereinafter referred to as the \” California Lease Agreement\”) is made and entered into this ___ day of ___, 20___, by and between ___ (hereinafter
We are not affiliated with any brand or entity on this form
Get, Create, Make and Sign pdffiller form
Edit your pdffiller form form online
Type text, complete fillable fields, insert images, highlight or blackout data for discretion, add comments, and more.
Add your legally-binding signature
Draw or type your signature, upload a signature image, or capture it with your digital camera.
Share your form instantly
Email, fax, or share your pdffiller form form via URL. You can also download, print, or export forms to your preferred cloud storage service.
Editing pdffiller form online
To use the services of a skilled PDF editor, follow these steps below:
1
Register the account. Begin by clicking Start Free Trial and create a profile if you are a new user.
2
Prepare a file. Use the Add New button. Then upload your file to the system from your device, importing it from internal mail, the cloud, or by adding its URL.
3
Edit pdffiller form. Rearrange and rotate pages, add and edit text, and use additional tools. To save changes and return to your Dashboard, click Done. The Documents tab allows you to merge, divide, lock, or unlock files.
4
Get your file. When you find your file in the docs list, click on its name and choose how you want to save it. To get the PDF, you can save it, send an email with it, or move it to the cloud.
With pdfFiller, it's always easy to deal with documents.
Uncompromising security for your PDF editing and eSignature needs
Your private information is safe with pdfFiller. We employ end-to-end encryption, secure cloud storage, and advanced access control to protect your documents and maintain regulatory compliance.
How to fill out pdffiller form
How to fill out california residential lease agreementdoc
01
Start by downloading the California residential lease agreement form from a trusted source.
02
Fill out the basic information such as the names of the landlord and tenant, the address of the rental property, and the lease start and end dates.
03
Specify the amount of rent and the due date, as well as any late fees or grace periods.
04
Include provisions for security deposits, pet policies, and maintenance responsibilities.
05
Clarify the rules for termination of the lease, subletting, and lease renewal options.
06
Review the entire document carefully before signing and make sure both parties understand their rights and obligations.
Who needs california residential lease agreementdoc?
01
Anyone looking to rent or lease a residential property in California would need a California residential lease agreement document. This includes landlords who want to clearly outline the terms of the rental agreement, as well as tenants who want to ensure their rights and responsibilities are protected.
Fill
form
: Try Risk Free
For pdfFiller’s FAQs
Below is a list of the most common customer questions. If you can’t find an answer to your question, please don’t hesitate to reach out to us.
How do I edit pdffiller form in Chrome?
Download and install the pdfFiller Google Chrome Extension to your browser to edit, fill out, and eSign your pdffiller form, which you can open in the editor with a single click from a Google search page. Fillable documents may be executed from any internet-connected device without leaving Chrome.
Can I sign the pdffiller form electronically in Chrome?
Yes. By adding the solution to your Chrome browser, you can use pdfFiller to eSign documents and enjoy all of the features of the PDF editor in one place. Use the extension to create a legally-binding eSignature by drawing it, typing it, or uploading a picture of your handwritten signature. Whatever you choose, you will be able to eSign your pdffiller form in seconds.
Can I create an electronic signature for signing my pdffiller form in Gmail?
With pdfFiller's add-on, you may upload, type, or draw a signature in Gmail. You can eSign your pdffiller form and other papers directly in your mailbox with pdfFiller. To preserve signed papers and your personal signatures, create an account.
What is california residential lease agreementdoc?
California residential lease agreementdoc is a legal document that outlines the terms and conditions of renting a residential property in California.
Who is required to file california residential lease agreementdoc?
Landlords and tenants are required to file california residential lease agreementdoc.
How to fill out california residential lease agreementdoc?
To fill out a california residential lease agreementdoc, you need to include details such as the names of the parties involved, the rental property address, the lease term, rental payment amount, security deposit amount, and any additional terms and conditions.
What is the purpose of california residential lease agreementdoc?
The purpose of california residential lease agreementdoc is to establish a legally binding agreement between the landlord and tenant regarding the rental of a residential property.
What information must be reported on california residential lease agreementdoc?
Information such as the names of the parties involved, the rental property address, the lease term, rental payment amount, security deposit amount, and any additional terms and conditions must be reported on california residential lease agreementdoc.
Fill out your pdffiller form online with pdfFiller!
pdfFiller is an end-to-end solution for managing, creating, and editing documents and forms in the cloud. Save time and hassle by preparing your tax forms online.
Pdffiller Form is not the form you're looking for?Search for another form here.
Relevant keywords
Related Forms
If you believe that this page should be taken down, please follow our DMCA take down process
here
.
This form may include fields for payment information. Data entered in these fields is not covered by PCI DSS compliance.