Get the free Constitution (Amendment) Acts - Legislative Department
Show details
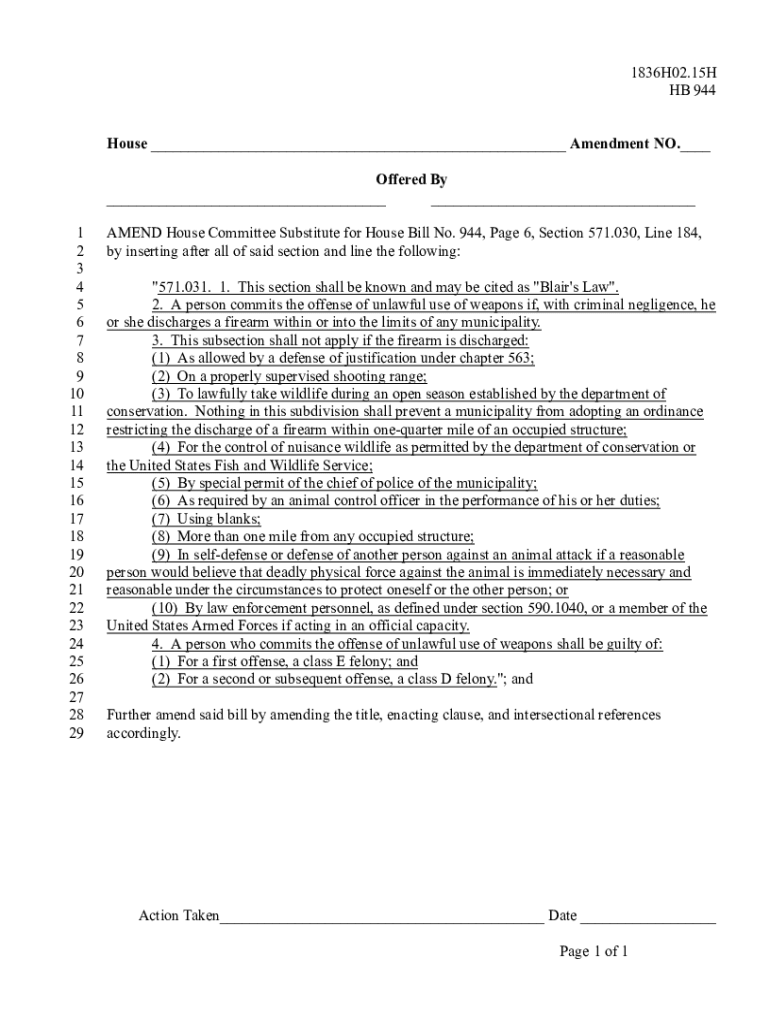
1836H02.15H HE 944 House ___ Amendment NO.___ Offered By ___ ___ 1 2 3 4 5 6 7 8 9 10 11 12 13 14 15 16 17 18 19 20 21 22 23 24 25 26 27 28 29AMEND House Committee Substitute for House Bill No. 944,
We are not affiliated with any brand or entity on this form
Get, Create, Make and Sign constitution amendment acts
Edit your constitution amendment acts form online
Type text, complete fillable fields, insert images, highlight or blackout data for discretion, add comments, and more.
Add your legally-binding signature
Draw or type your signature, upload a signature image, or capture it with your digital camera.
Share your form instantly
Email, fax, or share your constitution amendment acts form via URL. You can also download, print, or export forms to your preferred cloud storage service.
Editing constitution amendment acts online
To use our professional PDF editor, follow these steps:
1
Check your account. It's time to start your free trial.
2
Prepare a file. Use the Add New button to start a new project. Then, using your device, upload your file to the system by importing it from internal mail, the cloud, or adding its URL.
3
Edit constitution amendment acts. Rearrange and rotate pages, add new and changed texts, add new objects, and use other useful tools. When you're done, click Done. You can use the Documents tab to merge, split, lock, or unlock your files.
4
Get your file. When you find your file in the docs list, click on its name and choose how you want to save it. To get the PDF, you can save it, send an email with it, or move it to the cloud.
It's easier to work with documents with pdfFiller than you can have believed. You can sign up for an account to see for yourself.
Uncompromising security for your PDF editing and eSignature needs
Your private information is safe with pdfFiller. We employ end-to-end encryption, secure cloud storage, and advanced access control to protect your documents and maintain regulatory compliance.
How to fill out constitution amendment acts
How to fill out constitution amendment acts
01
Identify the areas in the constitution that need to be amended.
02
Draft the proposed amendments with clear and specific language.
03
Consult with legal experts and stakeholders for feedback and input.
04
Submit the proposed amendments to the appropriate governing body for review and approval.
05
Ensure that the amendments are properly recorded and published for public awareness.
06
Implement the approved amendments in accordance with the established process.
Who needs constitution amendment acts?
01
Government officials and legislators who have the authority to amend the constitution.
02
Legal experts and scholars who study and analyze constitutional law.
03
Citizens and residents who may benefit from or be affected by the changes in the constitution.
Fill
form
: Try Risk Free
For pdfFiller’s FAQs
Below is a list of the most common customer questions. If you can’t find an answer to your question, please don’t hesitate to reach out to us.
How can I modify constitution amendment acts without leaving Google Drive?
pdfFiller and Google Docs can be used together to make your documents easier to work with and to make fillable forms right in your Google Drive. The integration will let you make, change, and sign documents, like constitution amendment acts, without leaving Google Drive. Add pdfFiller's features to Google Drive, and you'll be able to do more with your paperwork on any internet-connected device.
How do I edit constitution amendment acts online?
pdfFiller not only allows you to edit the content of your files but fully rearrange them by changing the number and sequence of pages. Upload your constitution amendment acts to the editor and make any required adjustments in a couple of clicks. The editor enables you to blackout, type, and erase text in PDFs, add images, sticky notes and text boxes, and much more.
Can I create an electronic signature for signing my constitution amendment acts in Gmail?
You can easily create your eSignature with pdfFiller and then eSign your constitution amendment acts directly from your inbox with the help of pdfFiller’s add-on for Gmail. Please note that you must register for an account in order to save your signatures and signed documents.
What is constitution amendment acts?
Constitution amendment acts are laws passed to make changes or additions to the existing constitution.
Who is required to file constitution amendment acts?
Government officials, legislators, or governing bodies are typically required to file constitution amendment acts.
How to fill out constitution amendment acts?
Constitution amendment acts can be filled out by drafting the proposed changes or additions, obtaining necessary approvals, and submitting the document to the appropriate authority for consideration.
What is the purpose of constitution amendment acts?
The purpose of constitution amendment acts is to modify or update the existing constitution to reflect the current needs and values of society.
What information must be reported on constitution amendment acts?
Constitution amendment acts must include the proposed changes, the rationale behind them, and any relevant supporting evidence.
Fill out your constitution amendment acts online with pdfFiller!
pdfFiller is an end-to-end solution for managing, creating, and editing documents and forms in the cloud. Save time and hassle by preparing your tax forms online.
Constitution Amendment Acts is not the form you're looking for?Search for another form here.
Relevant keywords
Related Forms
If you believe that this page should be taken down, please follow our DMCA take down process
here
.
This form may include fields for payment information. Data entered in these fields is not covered by PCI DSS compliance.