Get the free Project Management Fact Sheet:
Show details
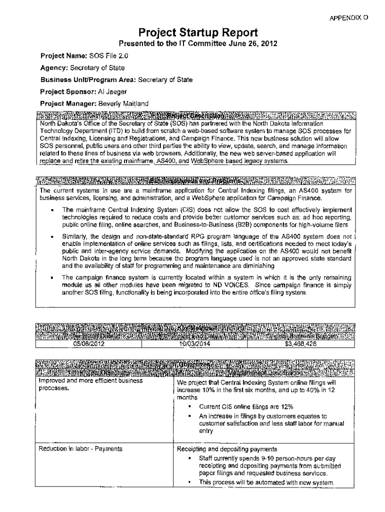
APPENDIXOProject Startup Report Presented to the IT Committee June 26, 2012, Project Name: SOS File 2.0 Agency: Secretary of State Business Unit/Program Area: Secretary of State Project Sponsor: AI
We are not affiliated with any brand or entity on this form
Get, Create, Make and Sign project management fact sheet
Edit your project management fact sheet form online
Type text, complete fillable fields, insert images, highlight or blackout data for discretion, add comments, and more.
Add your legally-binding signature
Draw or type your signature, upload a signature image, or capture it with your digital camera.
Share your form instantly
Email, fax, or share your project management fact sheet form via URL. You can also download, print, or export forms to your preferred cloud storage service.
Editing project management fact sheet online
Follow the steps below to benefit from a competent PDF editor:
1
Create an account. Begin by choosing Start Free Trial and, if you are a new user, establish a profile.
2
Prepare a file. Use the Add New button. Then upload your file to the system from your device, importing it from internal mail, the cloud, or by adding its URL.
3
Edit project management fact sheet. Replace text, adding objects, rearranging pages, and more. Then select the Documents tab to combine, divide, lock or unlock the file.
4
Get your file. Select your file from the documents list and pick your export method. You may save it as a PDF, email it, or upload it to the cloud.
pdfFiller makes working with documents easier than you could ever imagine. Register for an account and see for yourself!
Uncompromising security for your PDF editing and eSignature needs
Your private information is safe with pdfFiller. We employ end-to-end encryption, secure cloud storage, and advanced access control to protect your documents and maintain regulatory compliance.
How to fill out project management fact sheet
How to fill out project management fact sheet
01
Start by gathering all necessary project information such as project name, project manager's name, and project start and end dates.
02
Fill out the project objectives and goals section detailing what the project aims to achieve.
03
Provide an overview of the project scope including deliverables, milestones, and budget.
04
Include information on project stakeholders and their roles and responsibilities.
05
Fill out the project risks and mitigation strategies section to identify potential obstacles and how to address them.
06
Lastly, review and double-check all information before submitting the completed project management fact sheet.
Who needs project management fact sheet?
01
Project managers who want to document key project information in a structured format.
02
Team members who need a clear overview of project objectives, scope, and risks.
03
Stakeholders who need to understand the key details of a project for decision-making purposes.
Fill
form
: Try Risk Free
For pdfFiller’s FAQs
Below is a list of the most common customer questions. If you can’t find an answer to your question, please don’t hesitate to reach out to us.
How can I get project management fact sheet?
The pdfFiller premium subscription gives you access to a large library of fillable forms (over 25 million fillable templates) that you can download, fill out, print, and sign. In the library, you'll have no problem discovering state-specific project management fact sheet and other forms. Find the template you want and tweak it with powerful editing tools.
Can I edit project management fact sheet on an iOS device?
You can. Using the pdfFiller iOS app, you can edit, distribute, and sign project management fact sheet. Install it in seconds at the Apple Store. The app is free, but you must register to buy a subscription or start a free trial.
How do I fill out project management fact sheet on an Android device?
Complete project management fact sheet and other documents on your Android device with the pdfFiller app. The software allows you to modify information, eSign, annotate, and share files. You may view your papers from anywhere with an internet connection.
What is project management fact sheet?
Project management fact sheet is a document that provides a summary of key information about a project, including its objectives, scope, budget, timeline, and stakeholders.
Who is required to file project management fact sheet?
Project managers or team leads are typically responsible for filing the project management fact sheet.
How to fill out project management fact sheet?
To fill out a project management fact sheet, one should document all relevant project details in a clear, organized manner.
What is the purpose of project management fact sheet?
The purpose of a project management fact sheet is to provide stakeholders with a quick overview of the project and its progress.
What information must be reported on project management fact sheet?
Information that must be reported on a project management fact sheet includes project goals, budget estimates, timelines, and team member responsibilities.
Fill out your project management fact sheet online with pdfFiller!
pdfFiller is an end-to-end solution for managing, creating, and editing documents and forms in the cloud. Save time and hassle by preparing your tax forms online.
Project Management Fact Sheet is not the form you're looking for?Search for another form here.
Relevant keywords
Related Forms
If you believe that this page should be taken down, please follow our DMCA take down process
here
.
This form may include fields for payment information. Data entered in these fields is not covered by PCI DSS compliance.