Get the free San Francisco, CA, 94123
Show details
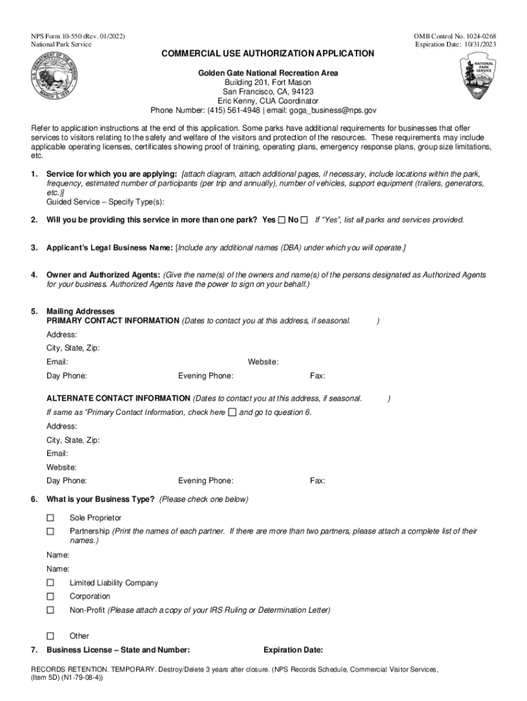
NPS Form 10550 (Rev. 01/2022) National Park Service OMB Control No. 10240268 Expiration Date: 10/31/2023COMMERCIAL USE AUTHORIZATION APPLICATION Golden Gate National Recreation Area Building 201,
We are not affiliated with any brand or entity on this form
Get, Create, Make and Sign san francisco ca 94123
Edit your san francisco ca 94123 form online
Type text, complete fillable fields, insert images, highlight or blackout data for discretion, add comments, and more.
Add your legally-binding signature
Draw or type your signature, upload a signature image, or capture it with your digital camera.
Share your form instantly
Email, fax, or share your san francisco ca 94123 form via URL. You can also download, print, or export forms to your preferred cloud storage service.
Editing san francisco ca 94123 online
To use the services of a skilled PDF editor, follow these steps:
1
Register the account. Begin by clicking Start Free Trial and create a profile if you are a new user.
2
Prepare a file. Use the Add New button. Then upload your file to the system from your device, importing it from internal mail, the cloud, or by adding its URL.
3
Edit san francisco ca 94123. Rearrange and rotate pages, add and edit text, and use additional tools. To save changes and return to your Dashboard, click Done. The Documents tab allows you to merge, divide, lock, or unlock files.
4
Save your file. Select it from your list of records. Then, move your cursor to the right toolbar and choose one of the exporting options. You can save it in multiple formats, download it as a PDF, send it by email, or store it in the cloud, among other things.
It's easier to work with documents with pdfFiller than you could have ever thought. Sign up for a free account to view.
Uncompromising security for your PDF editing and eSignature needs
Your private information is safe with pdfFiller. We employ end-to-end encryption, secure cloud storage, and advanced access control to protect your documents and maintain regulatory compliance.
How to fill out san francisco ca 94123
How to fill out san francisco ca 94123
01
Obtain the necessary forms for filling out San Francisco, CA 94123.
02
Fill out your personal information including name, address, and contact details.
03
Provide information about the purpose of the form and any additional required details.
04
Double check all information for accuracy and completeness before submitting the form.
Who needs san francisco ca 94123?
01
Residents living in San Francisco, CA might need to fill out San Francisco, CA 94123 for various purposes such as tax filing, voter registration, or applying for city services.
Fill
form
: Try Risk Free
For pdfFiller’s FAQs
Below is a list of the most common customer questions. If you can’t find an answer to your question, please don’t hesitate to reach out to us.
Can I create an electronic signature for the san francisco ca 94123 in Chrome?
Yes. With pdfFiller for Chrome, you can eSign documents and utilize the PDF editor all in one spot. Create a legally enforceable eSignature by sketching, typing, or uploading a handwritten signature image. You may eSign your san francisco ca 94123 in seconds.
How do I fill out san francisco ca 94123 using my mobile device?
You can easily create and fill out legal forms with the help of the pdfFiller mobile app. Complete and sign san francisco ca 94123 and other documents on your mobile device using the application. Visit pdfFiller’s webpage to learn more about the functionalities of the PDF editor.
Can I edit san francisco ca 94123 on an iOS device?
You can. Using the pdfFiller iOS app, you can edit, distribute, and sign san francisco ca 94123. Install it in seconds at the Apple Store. The app is free, but you must register to buy a subscription or start a free trial.
What is san francisco ca 94123?
San Francisco, CA 94123 is a zip code in the city of San Francisco, California.
Who is required to file san francisco ca 94123?
Any individual or business entity within the designated zip code 94123 may be required to file specific tax or government forms.
How to fill out san francisco ca 94123?
To fill out forms related to San Francisco, CA 94123, individuals or businesses must provide accurate and up-to-date information as required by the specific form.
What is the purpose of san francisco ca 94123?
The purpose of San Francisco, CA 94123 may vary depending on the context, but it is generally used to identify a specific geographic area within the city.
What information must be reported on san francisco ca 94123?
The information required to be reported on forms related to San Francisco, CA 94123 may include personal or business details, financial information, and other relevant data.
Fill out your san francisco ca 94123 online with pdfFiller!
pdfFiller is an end-to-end solution for managing, creating, and editing documents and forms in the cloud. Save time and hassle by preparing your tax forms online.
San Francisco Ca 94123 is not the form you're looking for?Search for another form here.
Relevant keywords
Related Forms
If you believe that this page should be taken down, please follow our DMCA take down process
here
.
This form may include fields for payment information. Data entered in these fields is not covered by PCI DSS compliance.