Get the free Cover Letter Template - Kapi'olani Community College
Show details
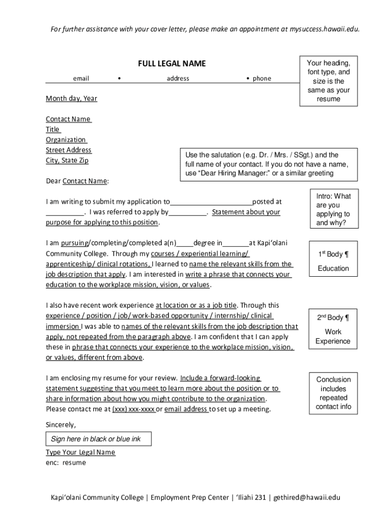
For further assistance with your cover letter, please make an appointment at my success.Hawaii.edu.FULL LEGAL NAME email address foremost day, Year Contact Name Title Organization Street Address City,
We are not affiliated with any brand or entity on this form
Get, Create, Make and Sign cover letter template
Edit your cover letter template form online
Type text, complete fillable fields, insert images, highlight or blackout data for discretion, add comments, and more.
Add your legally-binding signature
Draw or type your signature, upload a signature image, or capture it with your digital camera.
Share your form instantly
Email, fax, or share your cover letter template form via URL. You can also download, print, or export forms to your preferred cloud storage service.
Editing cover letter template online
To use our professional PDF editor, follow these steps:
1
Register the account. Begin by clicking Start Free Trial and create a profile if you are a new user.
2
Prepare a file. Use the Add New button. Then upload your file to the system from your device, importing it from internal mail, the cloud, or by adding its URL.
3
Edit cover letter template. Add and change text, add new objects, move pages, add watermarks and page numbers, and more. Then click Done when you're done editing and go to the Documents tab to merge or split the file. If you want to lock or unlock the file, click the lock or unlock button.
4
Save your file. Select it from your list of records. Then, move your cursor to the right toolbar and choose one of the exporting options. You can save it in multiple formats, download it as a PDF, send it by email, or store it in the cloud, among other things.
The use of pdfFiller makes dealing with documents straightforward. Now is the time to try it!
Uncompromising security for your PDF editing and eSignature needs
Your private information is safe with pdfFiller. We employ end-to-end encryption, secure cloud storage, and advanced access control to protect your documents and maintain regulatory compliance.
How to fill out cover letter template
How to fill out cover letter template
01
Start by addressing the cover letter to the hiring manager or specific contact person.
02
Begin by introducing yourself and stating the position you are applying for.
03
Highlight your relevant skills and experiences that make you a strong candidate for the job.
04
Tailor your cover letter to the specific job and company you are applying to.
05
Close the cover letter with a strong conclusion reiterating your interest in the position and thanking the reader for their time.
Who needs cover letter template?
01
Job seekers who are applying for a specific position at a company.
02
Individuals looking to make a good first impression with potential employers.
03
Candidates who want to showcase their qualifications and experiences beyond what is on their resume.
Fill
form
: Try Risk Free
For pdfFiller’s FAQs
Below is a list of the most common customer questions. If you can’t find an answer to your question, please don’t hesitate to reach out to us.
How do I modify my cover letter template in Gmail?
pdfFiller’s add-on for Gmail enables you to create, edit, fill out and eSign your cover letter template and any other documents you receive right in your inbox. Visit Google Workspace Marketplace and install pdfFiller for Gmail. Get rid of time-consuming steps and manage your documents and eSignatures effortlessly.
How can I get cover letter template?
The premium subscription for pdfFiller provides you with access to an extensive library of fillable forms (over 25M fillable templates) that you can download, fill out, print, and sign. You won’t have any trouble finding state-specific cover letter template and other forms in the library. Find the template you need and customize it using advanced editing functionalities.
How do I edit cover letter template on an Android device?
You can. With the pdfFiller Android app, you can edit, sign, and distribute cover letter template from anywhere with an internet connection. Take use of the app's mobile capabilities.
What is cover letter template?
A cover letter template is a pre-formatted document that outlines the key components of a cover letter, providing a structure for individuals to fill in their information and tailor their message to a specific job application.
Who is required to file cover letter template?
Individuals applying for jobs or internships typically use a cover letter template to accompany their resume as part of the application process. Employers may also require cover letters for specific positions.
How to fill out cover letter template?
To fill out a cover letter template, you should start by personalizing the header with your contact information, address the letter to the hiring manager, introduce yourself, highlight your relevant skills and experiences, explain why you are a good fit for the position, and conclude with a call to action.
What is the purpose of cover letter template?
The purpose of a cover letter template is to guide applicants in crafting an effective cover letter that communicates their qualifications, enthusiasm for the job, and desire to be considered for the role.
What information must be reported on cover letter template?
The information that must be reported on a cover letter template includes your contact information, the employer's contact information, the date, a greeting, the body of the letter detailing your qualifications, and a closing signature.
Fill out your cover letter template online with pdfFiller!
pdfFiller is an end-to-end solution for managing, creating, and editing documents and forms in the cloud. Save time and hassle by preparing your tax forms online.
Cover Letter Template is not the form you're looking for?Search for another form here.
Relevant keywords
Related Forms
If you believe that this page should be taken down, please follow our DMCA take down process
here
.
This form may include fields for payment information. Data entered in these fields is not covered by PCI DSS compliance.